Última actualización :
17/12/2025
Antibiótico   Ampicillin sodium - sulbactam sodium  
Inyectables
Estabilidad en solucion Estabilidad en mezcla Factores que influyen sobre la estabilidad Compatibilidades método de inyección Bibliografía pdf
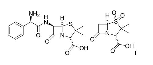
   Estructura química  

Nombre comercial   Nombre comercial     

Los nombres comerciales son orientativos y los excipientes de la formulación pueden ser distintos dependiendo del país y del laboratorio fabricante.

Alfasid Turquía
Ampibac Colombia
Ampibactam Venezuela
Ampicillin sulbactam Australia
Ampicillina sodica - sulbactam Brasil, Ecuador
Ampictam Egipto
Ampiplus Arabia Saudita, Rumania
Ampisid Turquía
Ampixim Venezuela
Bacimex España
Begalin Grecia
Bethacil Italia
Cinclox India
Combicid Turquía
Darzitil Argentina
Duobaktam Turquía
Duocid Turquía
Galotam España
Libractam Chile
Loricin Italia
Prixin Argentina
Ranpisul México
Retarpen España
Sabect Egipto
Sulamp Colombia
Sulbacter Venezuela
Sulbaksit Turquía
Sulbin Egipto
Sulcid Turquía
Sumitan Colombia, Venezuela
Synerpen Egipto
Ultracillin Egipto
Unacid Alemania
Unacim Francia
Unasyn Alemania, Arabia Saudita, Austria, Brasil, Chile, Colombia, Ecuador, Egipto, España, Estados Unidos de América, Hungría, Italia, Japón, Malasia, Marruecos, Marruecos, México, Polonia
Unictam Egipto
Xilbac Marruecos

Factores que influyen sobre la estabilidad   Inyectables   Factores que influyen sobre la estabilidad : Ampicillin sodium - sulbactam sodium        

  Mentions Légales