Останнє оновлення :
23/03/2026
різноманітні   Indocyanine green  
ін'єкція
Стійкість в розчинах Стійкість сумішей Фактори, що впливають на стабільність Сумісність Шлях введення Список літератури pdf
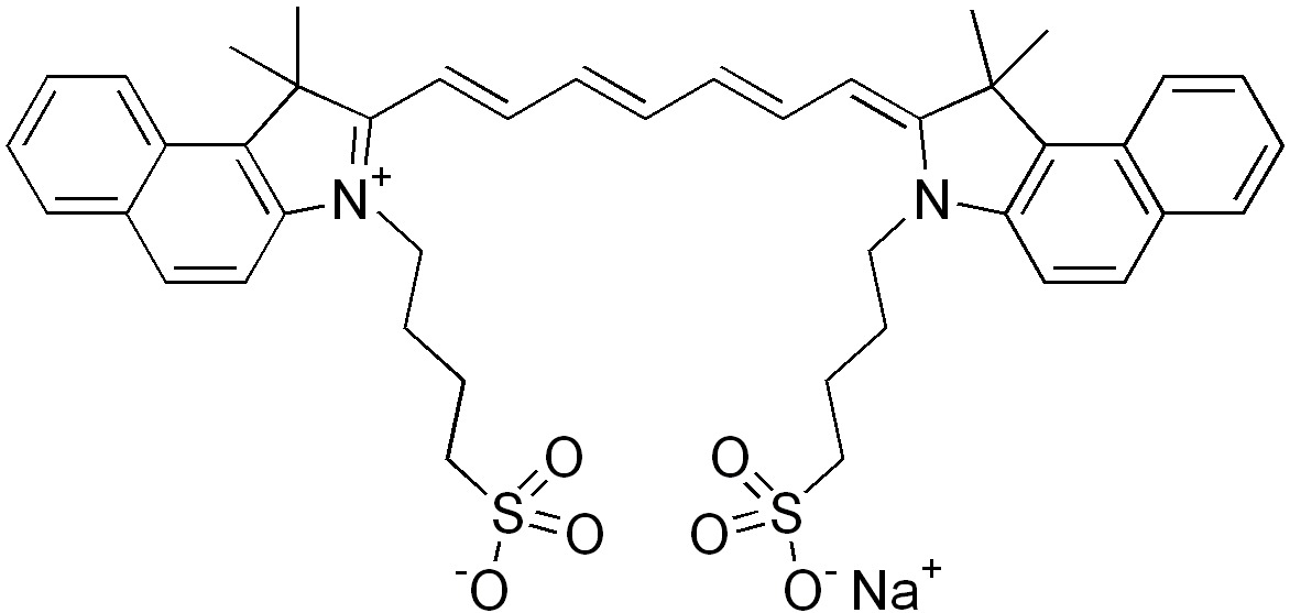
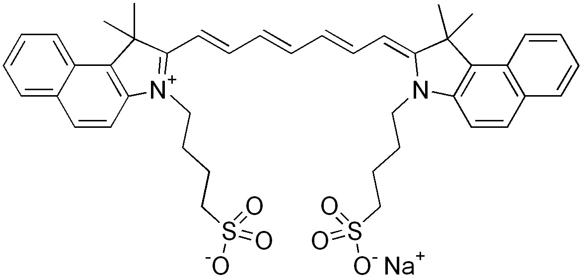
   Хімічна структура  

Торгова назва   Торгова назва     

Торгові назви є орієнтовними, а склад допоміжних речовин може бути різним залежно від країни та виробника

Infracyanine Франція
Verdye Ірландія, Іспанія, Італія, Бельгія, Німеччина, Румунія, Угорщина, Швеція
Сумісність   ін'єкція   Сумісність : Indocyanine green              
explication_incompatibilite_molecules
З'єднання Розчинник Список літератури

  Mentions Légales