Laatste update :
27/11/2025
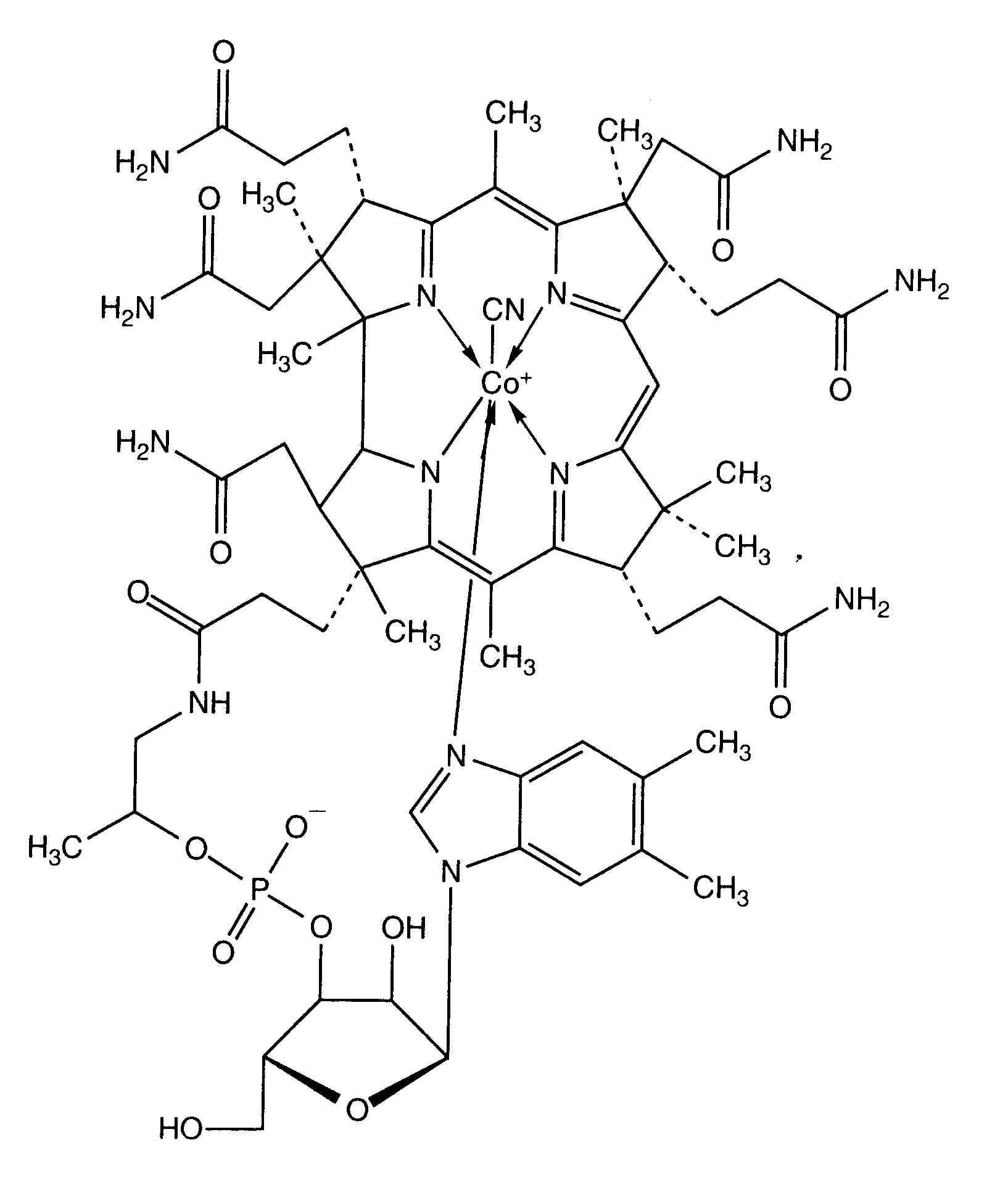
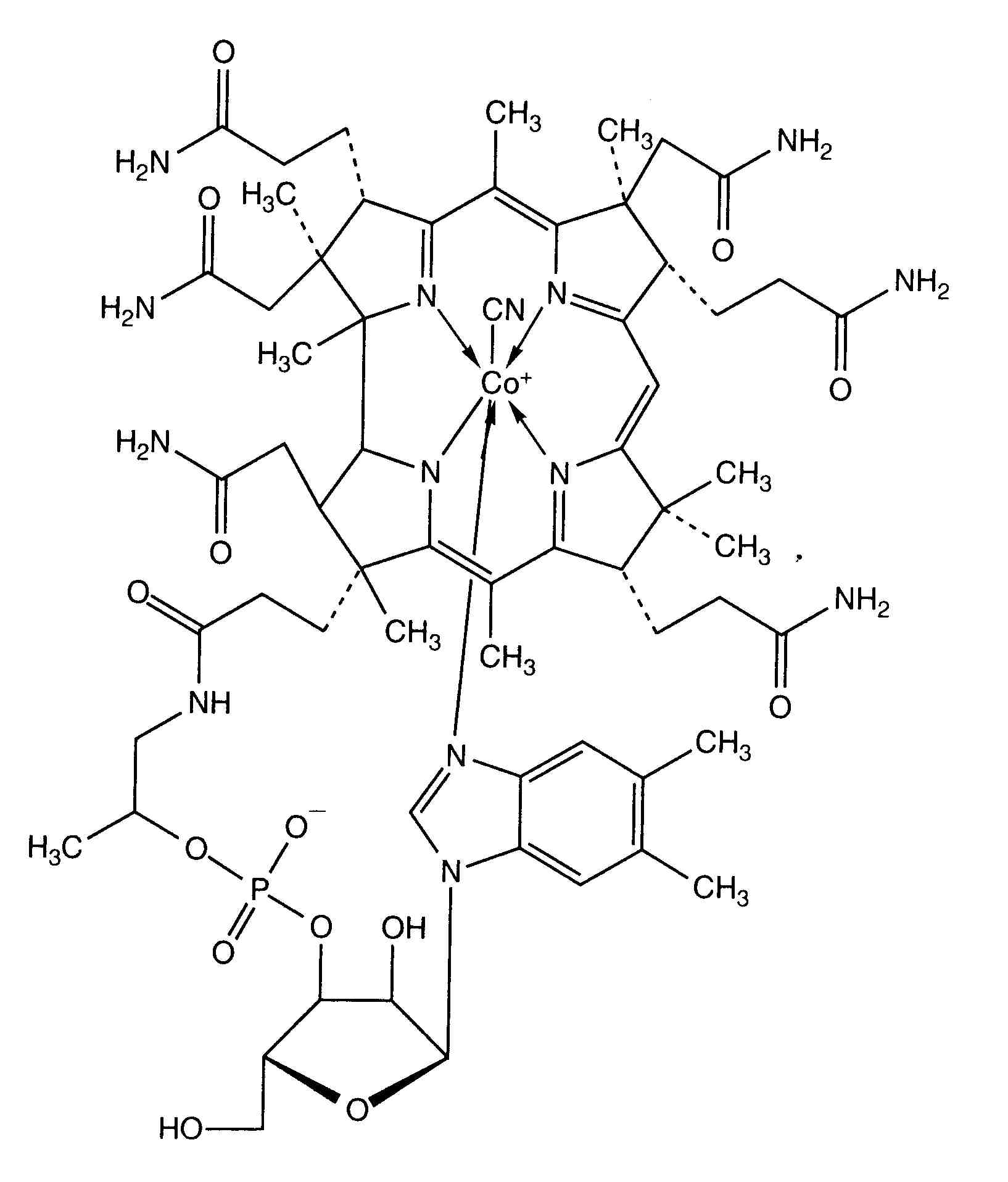
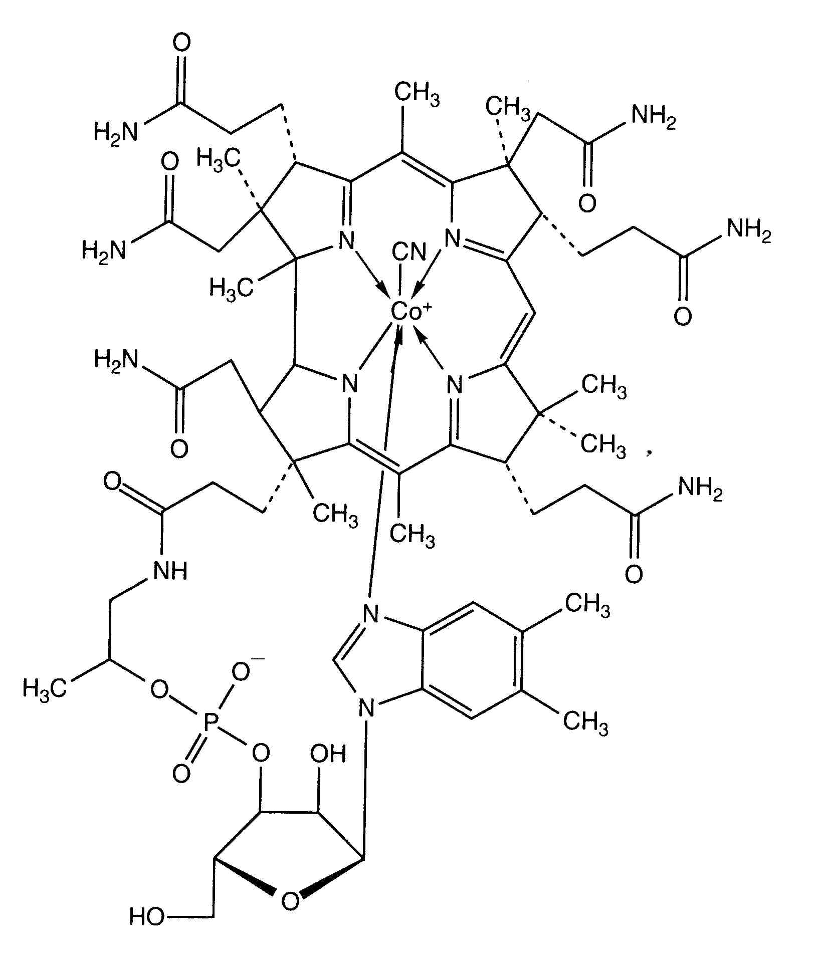
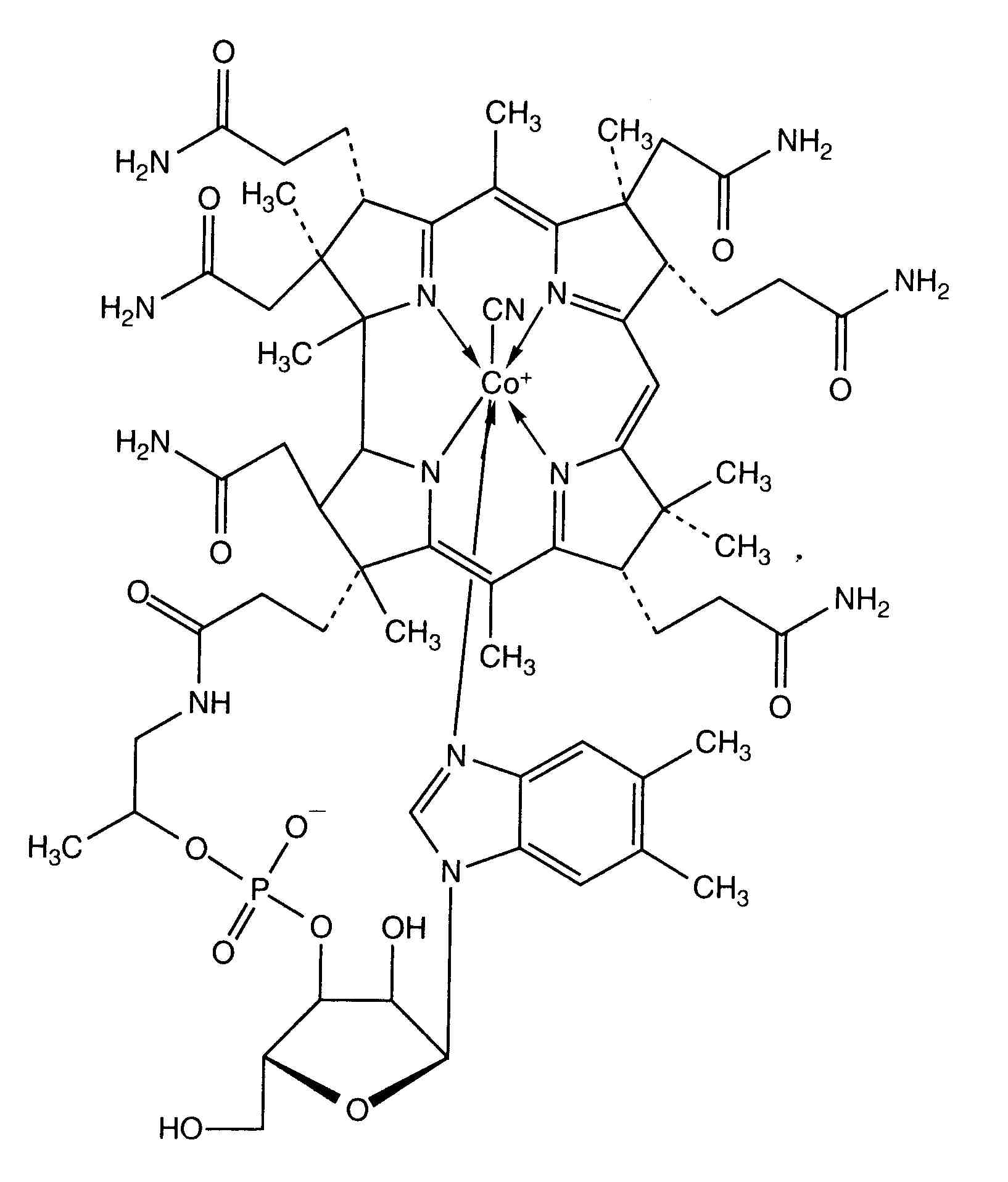
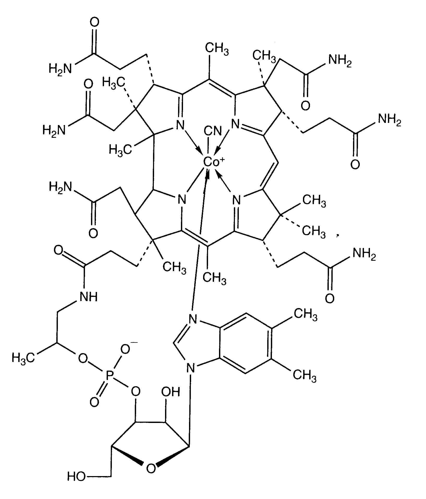
Vitamine   Cyanocobalamine  
injecteerbaar geneesmiddel
Stabiliteit in oplossing Stabiliteit in mengsels Factoren die de stabiliteit beïnvloeden Verenigbaarheden Toedieningswijze Literatuur pdf
   Molecuulstructuur  

Merknamen in verschillende landen   Merknamen in verschillende landen     

Handelsnamen zijn slechts een indicatie; de samenstelling van hulpstoffen kan per land variëren afhankelijk van de fabrikant

Ambe 12 Duitsland
Ambene B Duitsland
B12 Ankermann Duitsland
B12 Asmedic Duitsland
B12 for injection Canada, Duitsland
B12 Vicotrat Duitsland
Beto 12 Egypte
Betolvex Denemarken, Egypte, Finland, Noorwegen, Saudi-Arabië, Verenigde Arabische Emiraten, Zweden, Zwitserland
Bitavion Iran
Cianocobalamina Chili, Colombia, Ecuador, Venezuela
Cidulvex Egypte
Citon Indië
Cobal Maleisië
Cobex Canada
Cozamon Venezuela
Cromatonbic B12 Spanje
Cyanocobalamin Egypte, Maleisië, nieuw Zeeland, USA
Cyanocobalamine Frankrijk, Maleisië
Cyanvit Iran
Cynovit Saudi-Arabië, Verenigde Arabische Emiraten
Cytamen Australië, Groot Britannië, Ierland
Cytobion Duitsland, Saudi-Arabië
Dobetin Italië
Dodex Turkije
Droxofor Venezuela
Duradoce Mexico
Emicobal Egypte
Hamo Vilobex Duitsland
Hidro Doce 5000 Venezuela
Ibedox Venezuela
L Vit 12 Indië
Lifaton B12 Spanje
Lophakomp B12 Duitsland
Optovite B12 Spanje
Osve Vitamin B12 Iran
Permadoze Portugal
Reedvit Argentinië
Reiculoger Ecuador, Spanje
Rowo Vitamin B12 Duitsland
Rubivamin Egypte, USA
Vibalmin Iran
Vicapan Duitsland
Viplex B12 Turkije
Vitakobal Turkije
Vitamina B12 België, Canada, Colombia, Duitsland, Ecuador, Iran, Maleisië, Marokko, Noorwegen, Oostenrijk, Roemenië, Tunisie, Venezuela, Verenigde Arabische Emiraten, Zwitserland
Vitaminum B12 Polen
Vitarubine Zwitserland
Stabiliteit in oplossing   injecteerbaar geneesmiddel   Stabiliteit in oplossing : Cyanocobalamine     
geen gegevens

  Mentions Légales