Zadnji put ažurirano :
18/03/2026
vitamini   Cyanocobalamine  
injekcija
Stabilizacija rješenja Stabilnost mješavine Stabilizacijski faktor Kompatibilnosti način davanja lijeka Bibliografija pdf
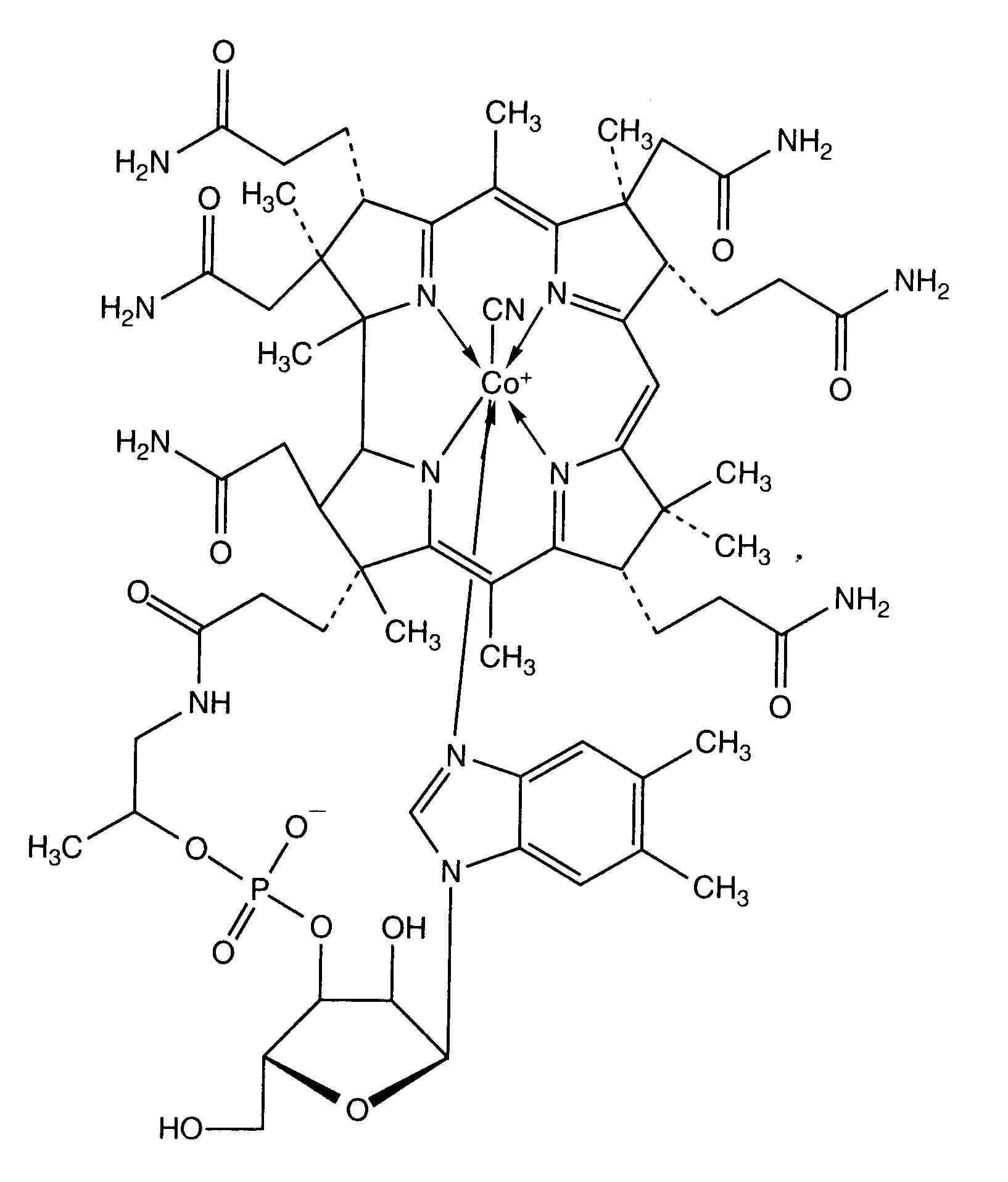
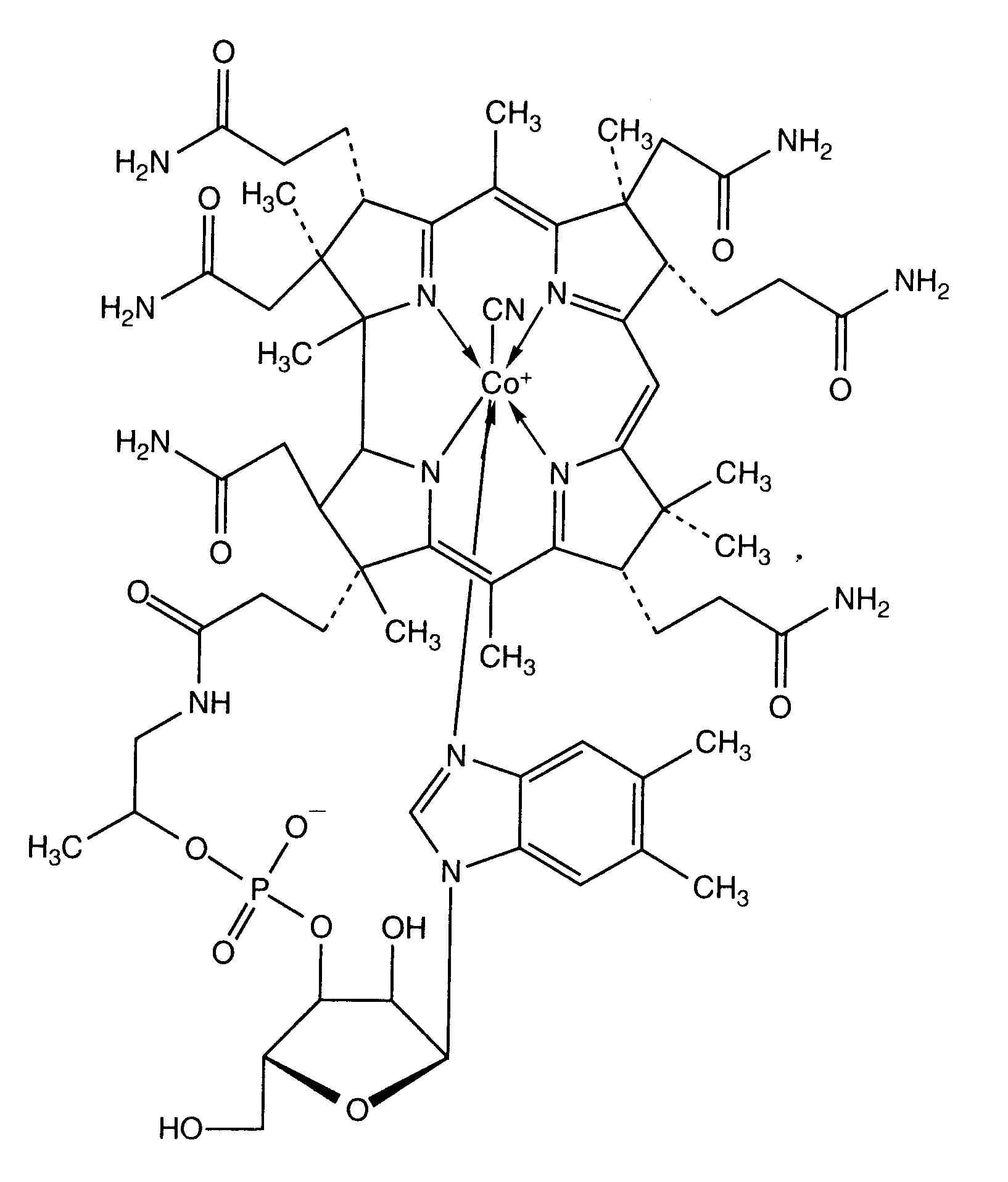
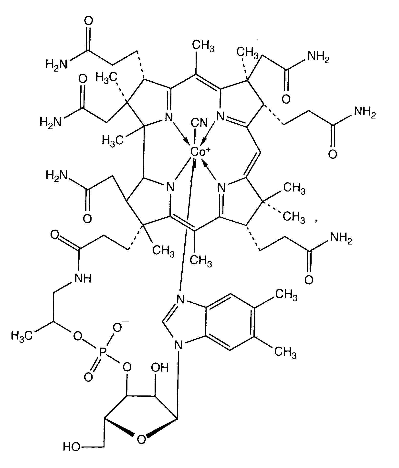
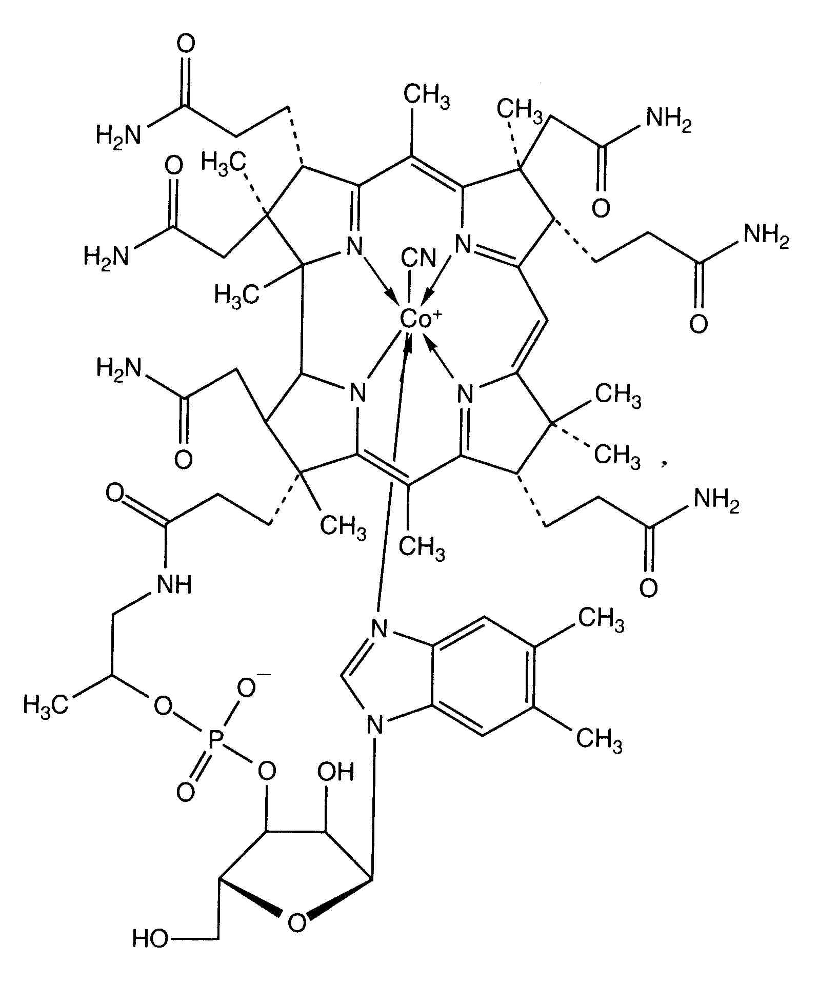
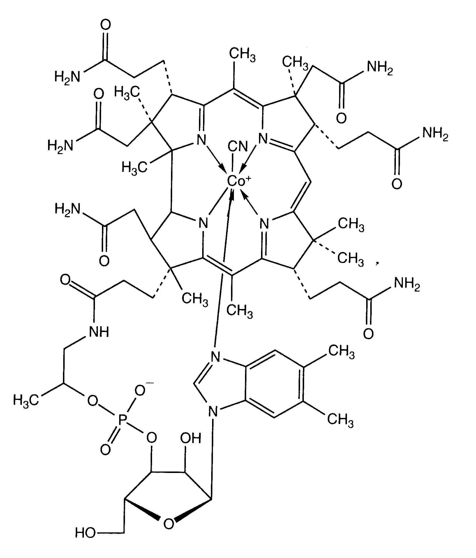
   Kemijska struktura  

Nekomercijalni   Nekomercijalni     

Zaštićeni nazivi su indikativni i sastav ekscipijensa može biti različit ovisno o državi i laboratorijima

Ambe 12 Njemačka
Ambene B Njemačka
B12 Ankermann Njemačka
B12 Asmedic Njemačka
B12 for injection Kanada, Njemačka
B12 Vicotrat Njemačka
Beto 12 Egipat
Betolvex Danska, Egipat, Finska, Norveška, Saudijska Arabija, Švedska, Švicarska, Ujedinjeni Arapski Emirati
Bitavion Iran
Cianocobalamina Čile, Ekvador, Kolumbija, Venecuela
Cidulvex Egipat
Citon Indija
Cobal Malezija
Cobex Kanada
Cozamon Venecuela
Cromatonbic B12 Španjolska
Cyanocobalamin Egipat, Malezija, novi Zeland, S A D
Cyanocobalamine Francuska, Malezija
Cyanvit Iran
Cynovit Saudijska Arabija, Ujedinjeni Arapski Emirati
Cytamen Australija, Irska, Velika Britanija
Cytobion Njemačka, Saudijska Arabija
Dobetin Italija
Dodex Turska
Droxofor Venecuela
Duradoce Meksiko
Emicobal Egipat
Hamo Vilobex Njemačka
Hidro Doce 5000 Venecuela
Ibedox Venecuela
L Vit 12 Indija
Lifaton B12 Španjolska
Lophakomp B12 Njemačka
Optovite B12 Španjolska
Osve Vitamin B12 Iran
Permadoze Portugal
Reedvit Argentina
Reiculoger Ekvador, Španjolska
Rowo Vitamin B12 Njemačka
Rubivamin Egipat, S A D
Vibalmin Iran
Vicapan Njemačka
Viplex B12 Turska
Vitakobal Turska
Vitamina B12 Austrija, Belgija, Ekvador, Iran, Kanada, Kolumbija, Malezija, Maroko, Njemačka, Norveška, Rumunjska, Švicarska, Tunis, Ujedinjeni Arapski Emirati, Venecuela
Vitaminum B12 Poljska
Vitarubine Švicarska
Stabilizacija rješenja   injekcija   Stabilizacija rješenja : Cyanocobalamine     
bez podataka

  Mentions Légales