Última actualização :
27/11/2025
Vitamina   Cyanocobalamine  
injetável
Estabilidade em soluções simples Estabilidade em misturas Factores que afectam a sua estabilidade Compatibilidade Método de administração Bibliografía pdf
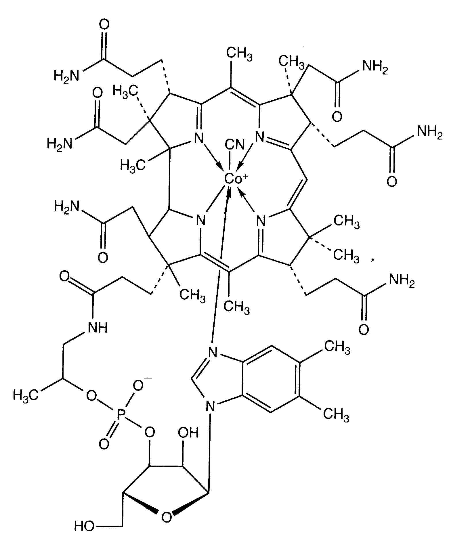
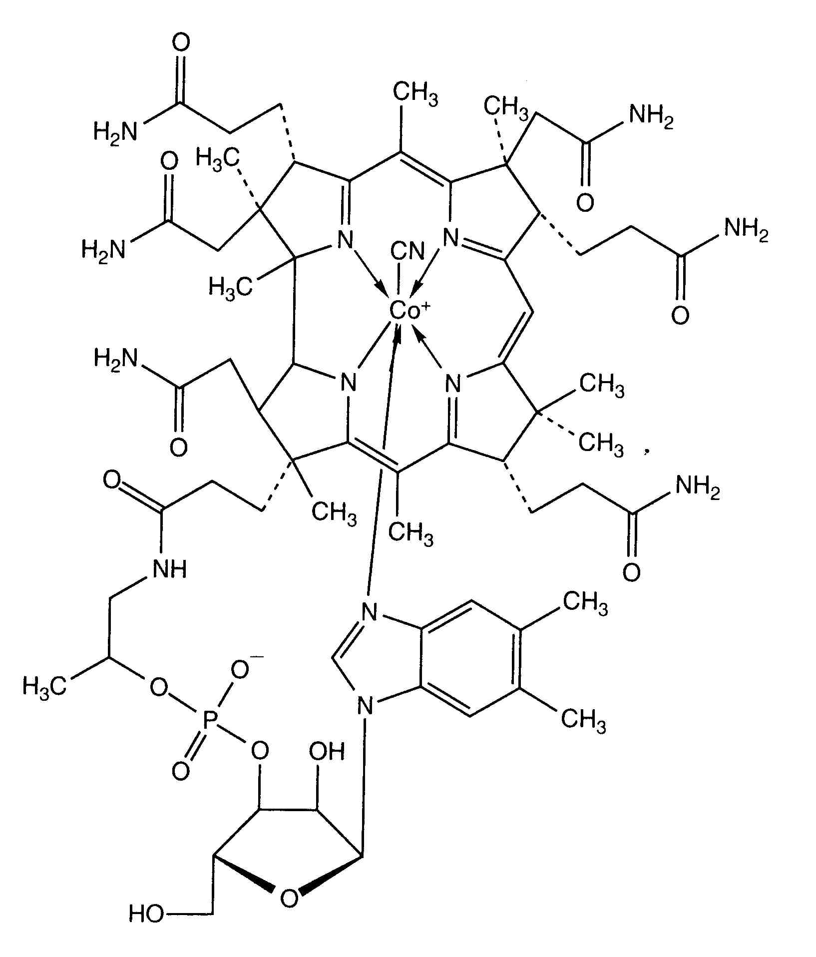
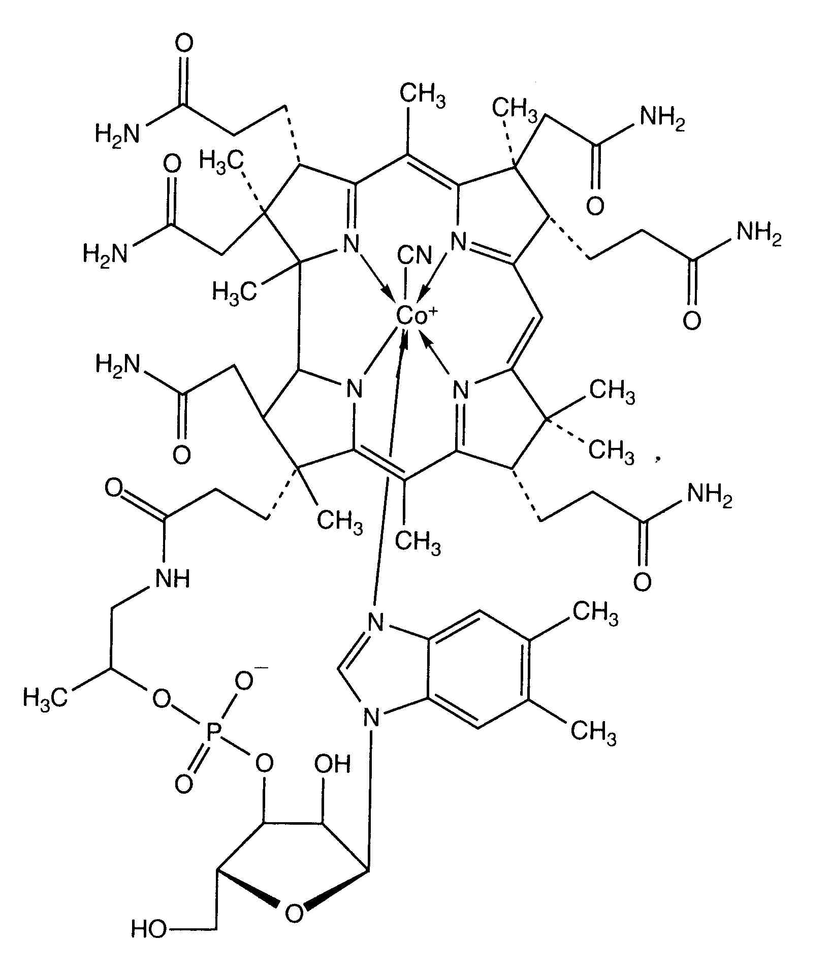
   estrutura química  

Nomes comerciais nos diversos países   Nomes comerciais nos diversos países     

OS NOMES COMERCIAIS SÃO INDICATIVOS E OS EXCIPIENTES DA FORMULAÇÃO PODEM SER DIFERENTES CONFORME O PAÍS E FABRICANTE.

Ambe 12 Alemanha
Ambene B Alemanha
B12 Ankermann Alemanha
B12 Asmedic Alemanha
B12 for injection Alemanha, Canadá
B12 Vicotrat Alemanha
Beto 12 Egipto
Betolvex Arábia Saudita, Dinamarca, Egipto, Emirados Árabes Unidos, Finlandia, Noruega, Suècia, Suicia
Bitavion Irã
Cianocobalamina Chilli, Colômbia, Equator, Venezuela
Cidulvex Egipto
Citon Índia
Cobal Malásia
Cobex Canadá
Cozamon Venezuela
Cromatonbic B12 Espanha
Cyanocobalamin Egipto, Estados Unidos de América, Malásia, nova Zelândia
Cyanocobalamine França, Malásia
Cyanvit Irã
Cynovit Arábia Saudita, Emirados Árabes Unidos
Cytamen Australia, Gran-bretanha, Irlanda
Cytobion Alemanha, Arábia Saudita
Dobetin Itália
Dodex Turquia
Droxofor Venezuela
Duradoce México
Emicobal Egipto
Hamo Vilobex Alemanha
Hidro Doce 5000 Venezuela
Ibedox Venezuela
L Vit 12 Índia
Lifaton B12 Espanha
Lophakomp B12 Alemanha
Optovite B12 Espanha
Osve Vitamin B12 Irã
Permadoze Portugal
Reedvit Argentina
Reiculoger Equator, Espanha
Rowo Vitamin B12 Alemanha
Rubivamin Egipto, Estados Unidos de América
Vibalmin Irã
Vicapan Alemanha
Viplex B12 Turquia
Vitakobal Turquia
Vitamina B12 Alemanha, Austria, Bélgica, Canadá, Colômbia, Emirados Árabes Unidos, Equator, Irã, Malásia, Marrocos, Noruega, Romènia, Suicia, Tunísia, Venezuela
Vitaminum B12 Polonia
Vitarubine Suicia
Estabilidade em misturas   injetável   Estabilidade em misturas : Cyanocobalamine     
Embalagem Solvente concentração molécula temperatura conservação Duração da estabilidade Bibliografia
vidro nenhum 1.25 mg/ml
injetável   Cyanocobalamine   
injetável   Thiocolchicoside 1 mg/ml
25°C
3 hora
1859
Nível de evidência C

  Mentions Légales