Seneste opdatering :
18/03/2026
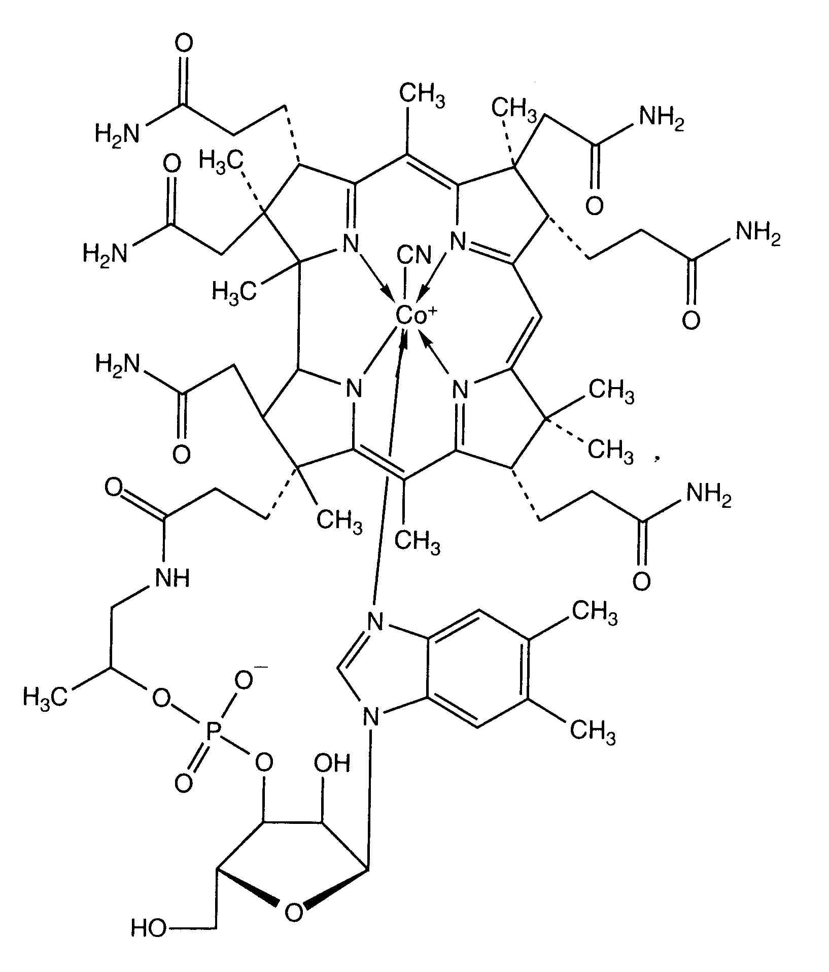
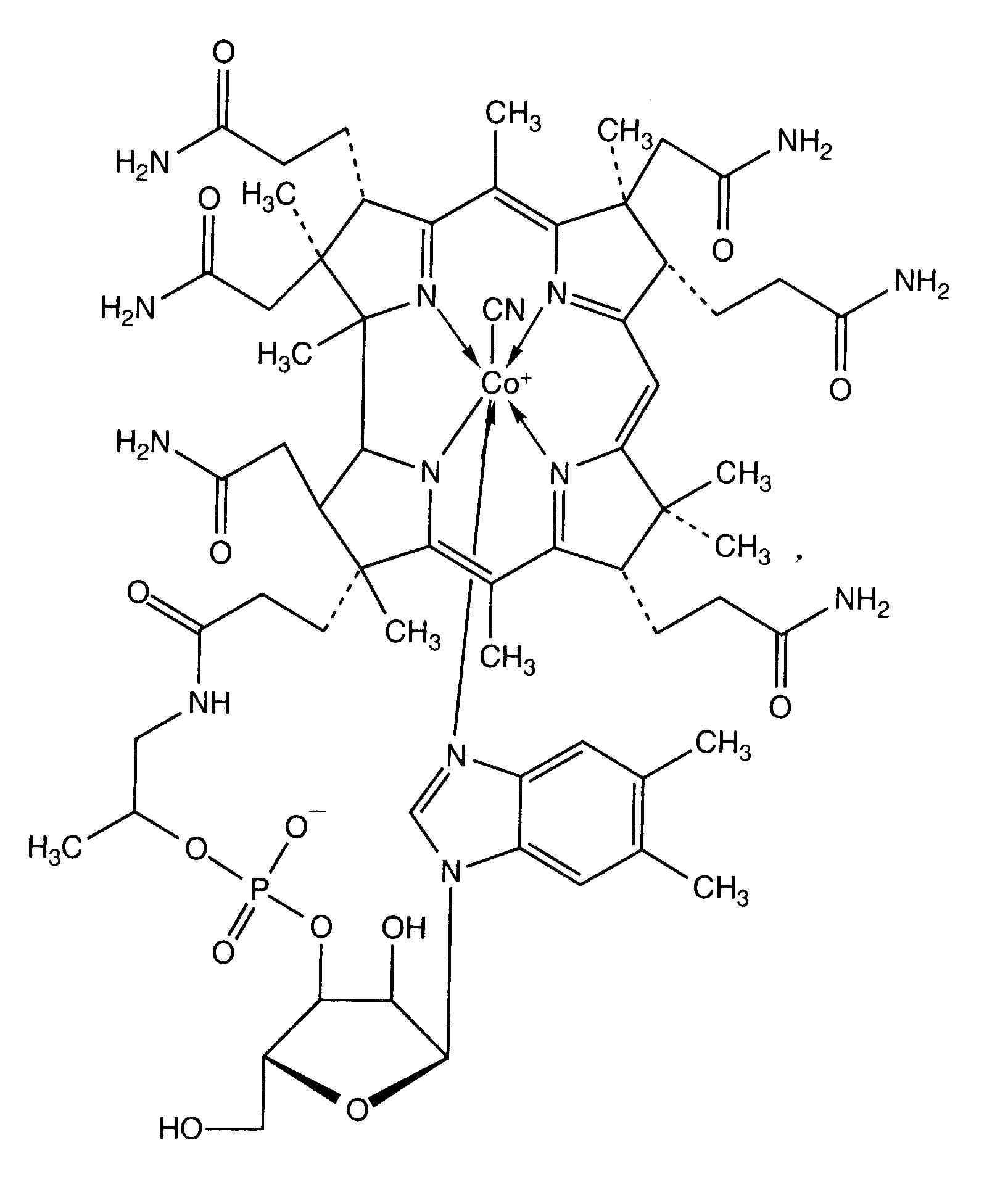
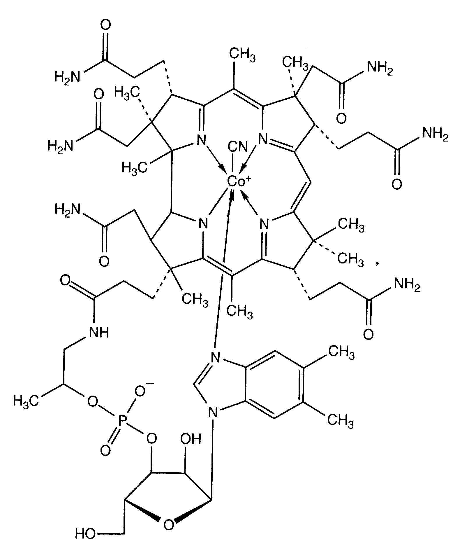
Vitamin   Cyanocobalamine  
Injektion
Stabilitet i (vandige) opløsninger Stabilitet i blandinger Faktorer der påvirker stabiliteten Kompatibilitet Administrationsvej Bibliografi pdf
   Kemisk struktur  

Handelsnavn   Handelsnavn     

Handel navne er vejledende og hjælpestoffer sammensætning kan være forskellig afhængigt af landet og laboratorier

Ambe 12 Tyskland
Ambene B Tyskland
B12 Ankermann Tyskland
B12 Asmedic Tyskland
B12 for injection Canada, Tyskland
B12 Vicotrat Tyskland
Beto 12 Ægypten
Betolvex Danmark, Finland, Forenede Arabiske Emirater, Norge, Saudi-Arabien, Schweiz, Sverige, Ægypten
Bitavion Iran
Cianocobalamina Chile, Colombia, Ecuador, Venezuela
Cidulvex Ægypten
Citon Indien
Cobal Malaysia
Cobex Canada
Cozamon Venezuela
Cromatonbic B12 Spanien
Cyanocobalamin Malaysia, New Zealand, USA, Ægypten
Cyanocobalamine Frankrig, Malaysia
Cyanvit Iran
Cynovit Forenede Arabiske Emirater, Saudi-Arabien
Cytamen Australien, Irland, Storbritanien
Cytobion Saudi-Arabien, Tyskland
Dobetin Italien
Dodex Tyrkiet
Droxofor Venezuela
Duradoce Mexico
Emicobal Ægypten
Hamo Vilobex Tyskland
Hidro Doce 5000 Venezuela
Ibedox Venezuela
L Vit 12 Indien
Lifaton B12 Spanien
Lophakomp B12 Tyskland
Optovite B12 Spanien
Osve Vitamin B12 Iran
Permadoze Portugal
Reedvit Argentina
Reiculoger Ecuador, Spanien
Rowo Vitamin B12 Tyskland
Rubivamin USA, Ægypten
Vibalmin Iran
Vicapan Tyskland
Viplex B12 Tyrkiet
Vitakobal Tyrkiet
Vitamina B12 Belgien, Canada, Colombia, Ecuador, Forenede Arabiske Emirater, Iran, Malaysia, Marokko, Norge, Rumænien, Schweiz, Tunesien, Tyskland, Venezuela, Østrig
Vitaminum B12 Polen
Vitarubine Schweiz
Stabilitet i blandinger   Injektion   Stabilitet i blandinger : Cyanocobalamine     
Beholder Opløsningsmiddel Koncentration Molekyle Temperatur Konservering Varighed af stabilitet Bibliografi
Glas Ingen 1.25 mg/ml
Injektion   Cyanocobalamine   
Injektion   Thiocolchicoside 1 mg/ml
25°C
3 Time
1859
Level af bevismateriale C

  Mentions Légales