Ultimele actualizari :
27/11/2025
Vitamina   Cyanocobalamine  
Injectabil
Stabilitatea in solutie Stabilitatea in amestec Factorii care influenteaza stabilitatea Compatibilitate Microunde Bibliografie pdf
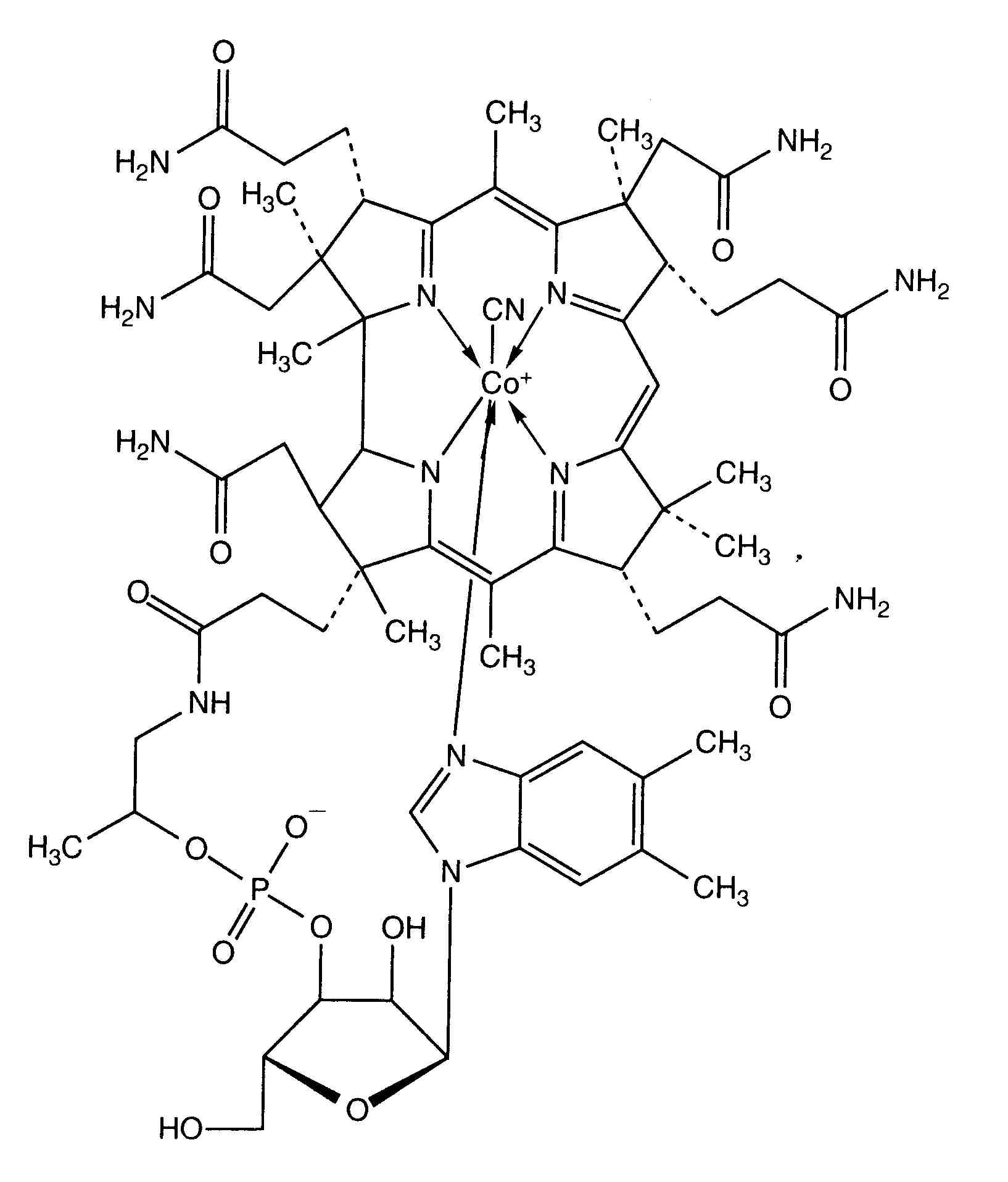
   Formula chimica  

Denumirea comerciala   Denumirea comerciala     

Trade names are indicative and excipients composition can be different depending on the country and manufacturers

Ambe 12 Germania
Ambene B Germania
B12 Ankermann Germania
B12 Asmedic Germania
B12 for injection Canada, Germania
B12 Vicotrat Germania
Beto 12 Egipt
Betolvex Arabia Saudita, Danemarca, Egipt, Elvetia, Emiratele Arabe Unite, Finlanda, Norvegia, Suedia
Bitavion Iran
Cianocobalamina Chilli, Columbia, Ecuador, Venezuela
Cidulvex Egipt
Citon India
Cobal Malaezia
Cobex Canada
Cozamon Venezuela
Cromatonbic B12 Spania
Cyanocobalamin Egipt, Malaezia, noua Zeelandă, SUA
Cyanocobalamine Franta, Malaezia
Cyanvit Iran
Cynovit Arabia Saudita, Emiratele Arabe Unite
Cytamen Australia, Irlanda, Marea Britanie
Cytobion Arabia Saudita, Germania
Dobetin Italia
Dodex Turcia
Droxofor Venezuela
Duradoce Mexic
Emicobal Egipt
Hamo Vilobex Germania
Hidro Doce 5000 Venezuela
Ibedox Venezuela
L Vit 12 India
Lifaton B12 Spania
Lophakomp B12 Germania
Optovite B12 Spania
Osve Vitamin B12 Iran
Permadoze Portugalia
Reedvit Argentina
Reiculoger Ecuador, Spania
Rowo Vitamin B12 Germania
Rubivamin Egipt, SUA
Vibalmin Iran
Vicapan Germania
Viplex B12 Turcia
Vitakobal Turcia
Vitamina B12 Austria, Belgia, Canada, Columbia, Ecuador, Elvetia, Emiratele Arabe Unite, Germania, Iran, Malaezia, Maroc, Norvegia, Romania, Tunisia, Venezuela
Vitaminum B12 Polonia
Vitarubine Elvetia

Factorii care influenteaza stabilitatea   Injectabil   Factorii care influenteaza stabilitatea : Cyanocobalamine        
Absenta de date

  Mentions Légales