最新更新 :
27/11/2025
维生素   Cyanocobalamine  
注射液
溶液稳定性 混合物稳定性 影响稳定性的因素 兼容性 用药途径 引用文献 PDF
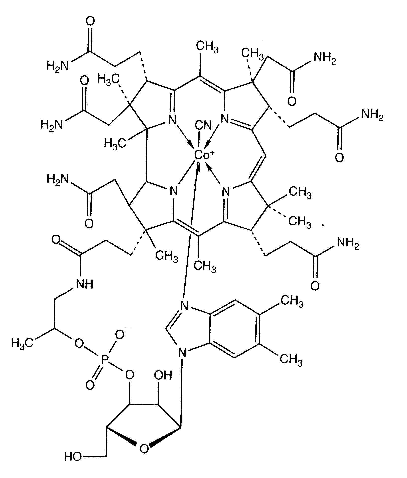
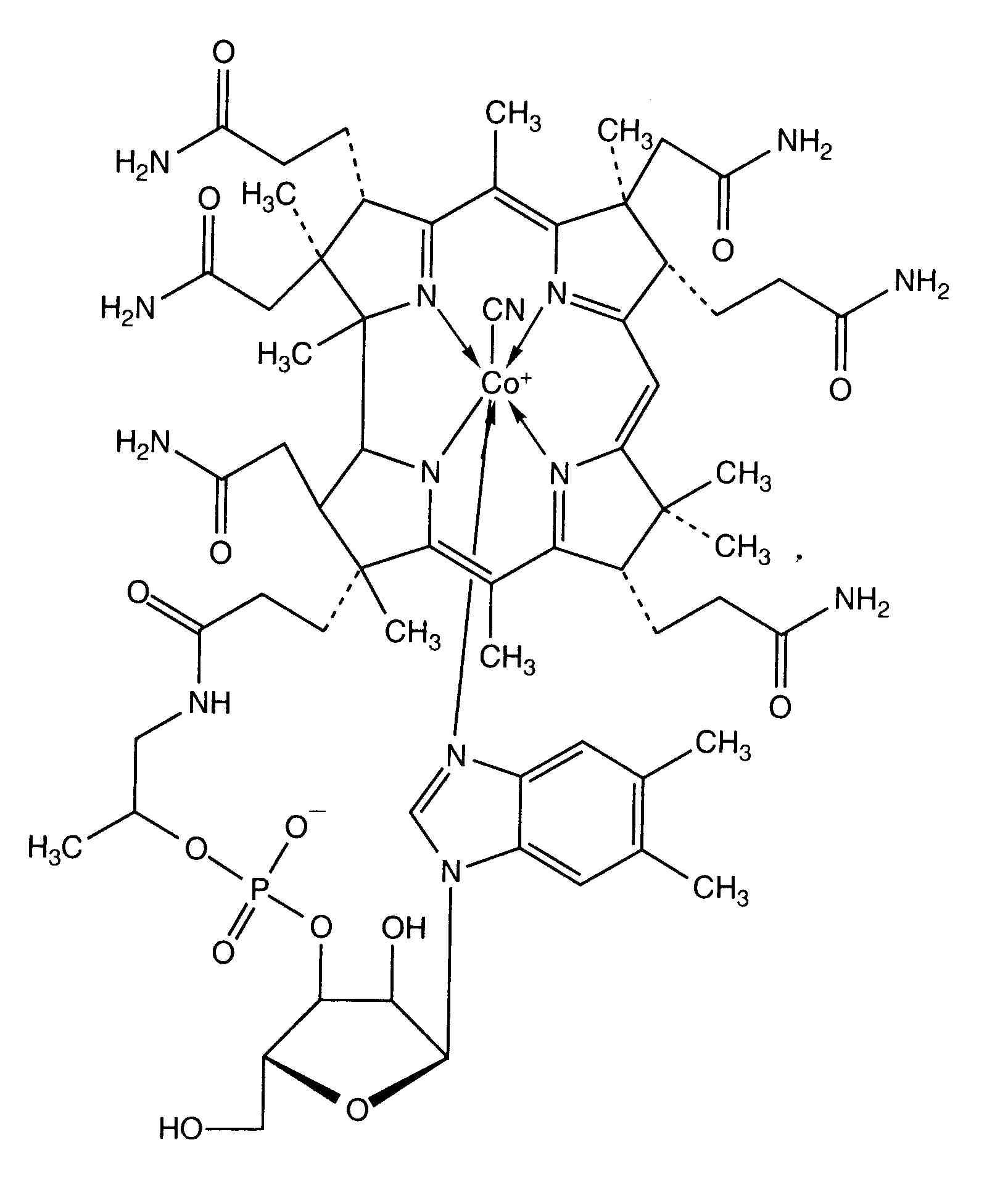
   化学式  

商品名   商品名     

商品名仅供参考, 药品所用的辅料可能依国家或厂商不同有所不同。

Ambe 12 德国
Ambene B 德国
B12 Ankermann 德国
B12 Asmedic 德国
B12 for injection 加拿大, 德国
B12 Vicotrat 德国
Beto 12 埃及
Betolvex 丹麦, 埃及, 挪威, 沙特阿拉伯, 瑞典, 瑞士, 芬兰, 阿联酋
Bitavion 伊朗
Cianocobalamina 厄瓜多尔, 哥伦比亚, 委内瑞拉, 智利
Cidulvex 埃及
Citon 印度
Cobal 马来西亚
Cobex 加拿大
Cozamon 委内瑞拉
Cromatonbic B12 西班牙
Cyanocobalamin 埃及, 新西蘭, 美国, 马来西亚
Cyanocobalamine 法国, 马来西亚
Cyanvit 伊朗
Cynovit 沙特阿拉伯, 阿联酋
Cytamen 澳大利亚, 爱尔兰, 英国
Cytobion 德国, 沙特阿拉伯
Dobetin 意大利
Dodex 土耳其
Droxofor 委内瑞拉
Duradoce 墨西哥
Emicobal 埃及
Hamo Vilobex 德国
Hidro Doce 5000 委内瑞拉
Ibedox 委内瑞拉
L Vit 12 印度
Lifaton B12 西班牙
Lophakomp B12 德国
Optovite B12 西班牙
Osve Vitamin B12 伊朗
Permadoze 葡萄牙
Reedvit 阿根廷
Reiculoger 厄瓜多尔, 西班牙
Rowo Vitamin B12 德国
Rubivamin 埃及, 美国
Vibalmin 伊朗
Vicapan 德国
Viplex B12 土耳其
Vitakobal 土耳其
Vitamina B12 伊朗, 加拿大, 厄瓜多尔, 哥伦比亚, 奥地利, 委内瑞拉, 德国, 挪威, 摩洛哥, 比利时, 瑞士, 突尼斯, 罗马尼亚, 阿联酋, 马来西亚
Vitaminum B12 波兰
Vitarubine 瑞士

影响稳定性的因素   注射液   影响稳定性的因素 : Cyanocobalamine        
无数据

  Mentions Légales