Senaste uppdateringen :
18/03/2026
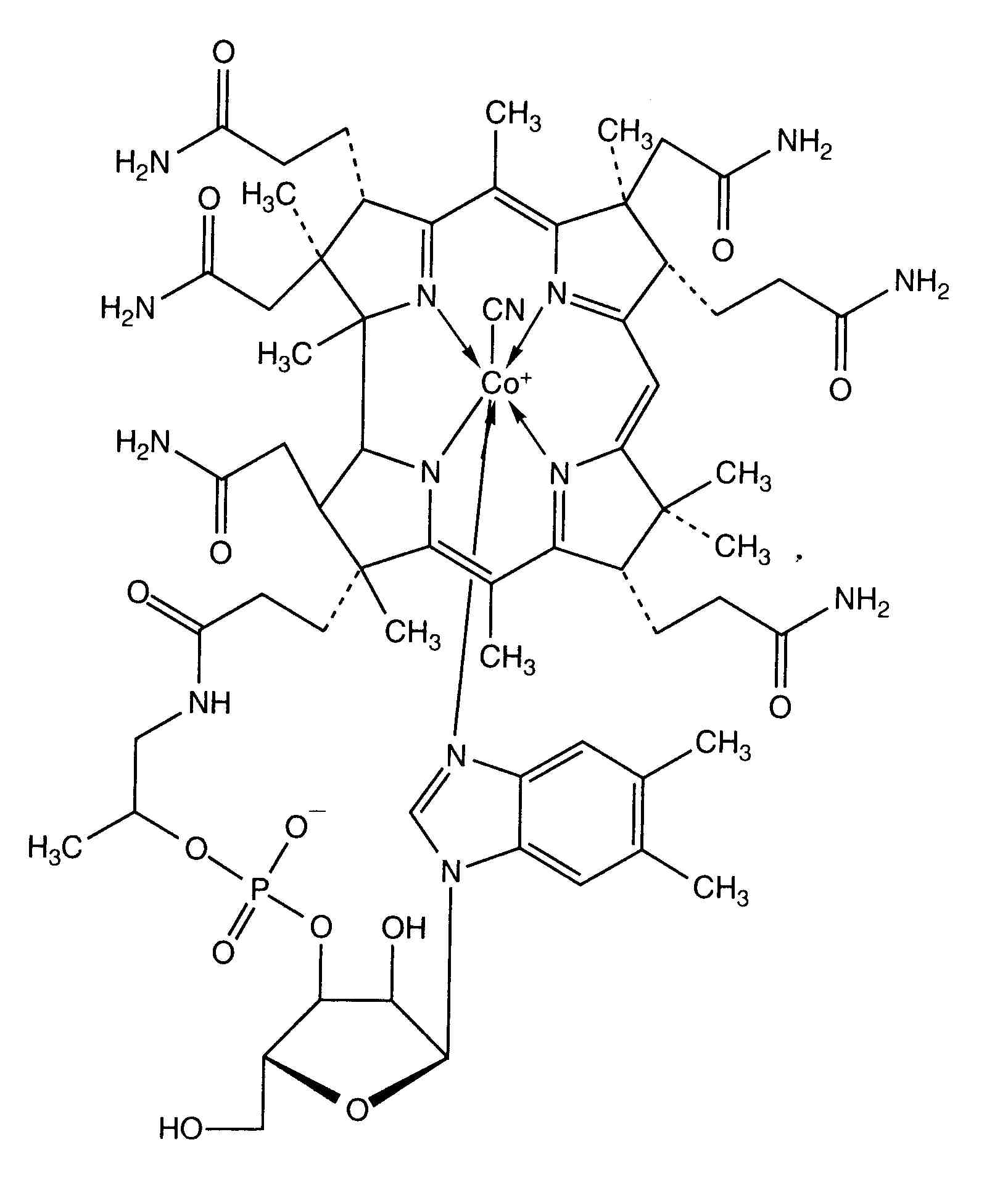
Vitamin   Cyanocobalamine  
injektion
Lösningars stabilitet Stabilitet i blandningar Faktorer som påverkar stabiliteten Kompatibilitet Administreringssätt Hänvisningar pdf
   Molekylstruktur  

Varunamn   Varunamn     

Angivna handelsnamn på läkemedel är enbart vägledande då formulering inklusive hjälpämnen kan variera mellan länder och tillverkare

Ambe 12 Tyskland
Ambene B Tyskland
B12 Ankermann Tyskland
B12 Asmedic Tyskland
B12 for injection Kanada, Tyskland
B12 Vicotrat Tyskland
Beto 12 Egypten
Betolvex Danmark, Egypten, Finland, Förenade Arabemiraten, Norge, Saudi-Arabien, Schweiz, Sverige
Bitavion Iran
Cianocobalamina Chile, Colombia, Ecuador, Venezuela
Cidulvex Egypten
Citon Indien
Cobal Malaysia
Cobex Kanada
Cozamon Venezuela
Cromatonbic B12 Spanien
Cyanocobalamin Egypten, Förenta Staterna, Malaysia, nya Zeeland
Cyanocobalamine Frankrike, Malaysia
Cyanvit Iran
Cynovit Förenade Arabemiraten, Saudi-Arabien
Cytamen Australien, Irland, Storbritannien
Cytobion Saudi-Arabien, Tyskland
Dobetin Italien
Dodex Turkiet
Droxofor Venezuela
Duradoce Mexiko
Emicobal Egypten
Hamo Vilobex Tyskland
Hidro Doce 5000 Venezuela
Ibedox Venezuela
L Vit 12 Indien
Lifaton B12 Spanien
Lophakomp B12 Tyskland
Optovite B12 Spanien
Osve Vitamin B12 Iran
Permadoze Portugal
Reedvit Argentina
Reiculoger Ecuador, Spanien
Rowo Vitamin B12 Tyskland
Rubivamin Egypten, Förenta Staterna
Vibalmin Iran
Vicapan Tyskland
Viplex B12 Turkiet
Vitakobal Turkiet
Vitamina B12 Belgien, Colombia, Ecuador, Förenade Arabemiraten, Iran, Kanada, Malaysia, Marocko, Norge, Österrike, Rumänien, Schweiz, Tunisien, Tyskland, Venezuela
Vitaminum B12 Polen
Vitarubine Schweiz
Hänvisningar   injektion   Hänvisningar : Cyanocobalamine  

  Mentions Légales