Viimeisin päivitys :
18/03/2026
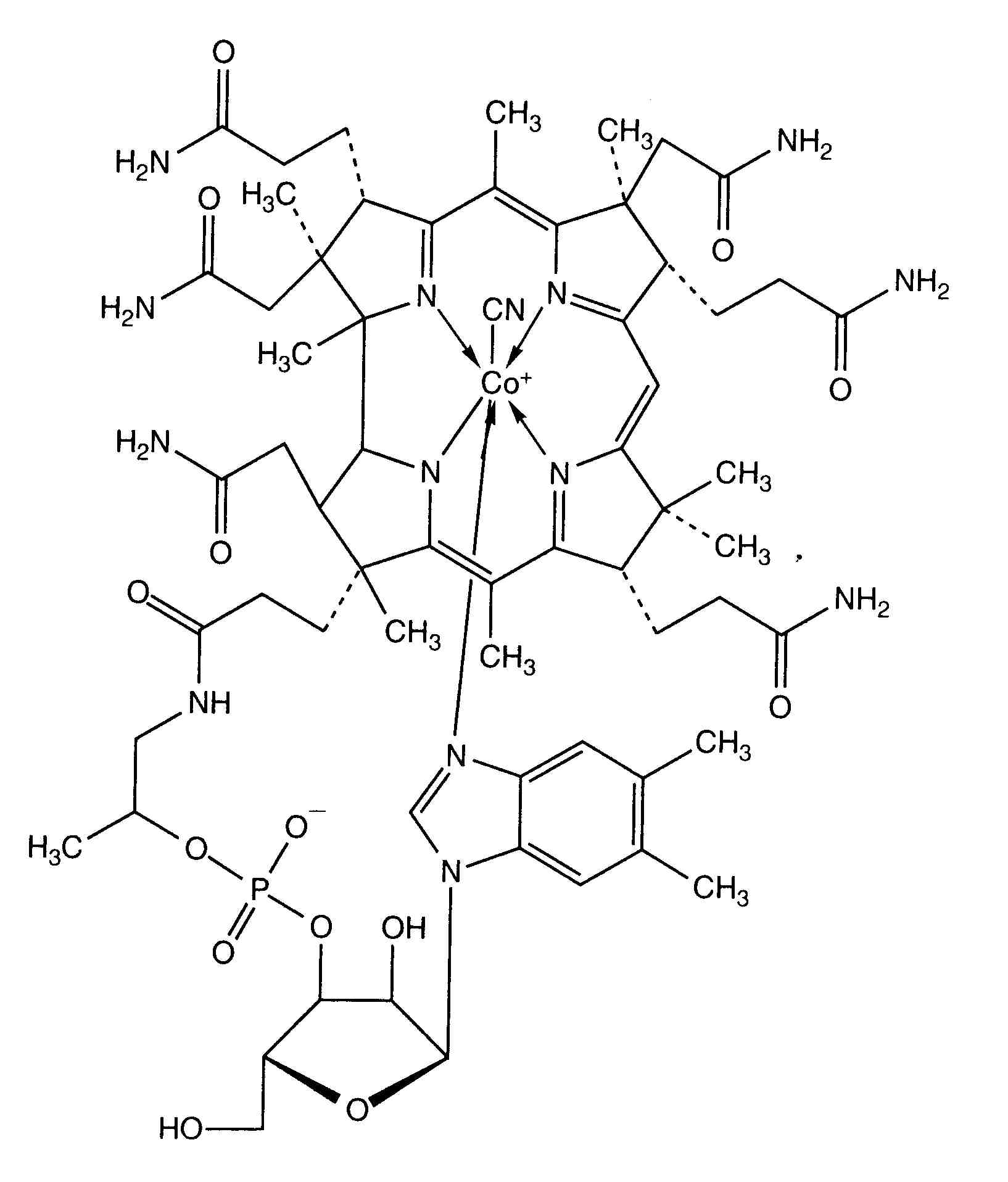
Vitamiinit   Cyanocobalamine  
Injektioneste
Stabilius liuoksessa Stabilius seoksissa Tekijät, jotka vaikuttavat stabiliuteen Yhteensopivuus Antotapa Viitteet pdf
   Kemiallinen rakenne  

Kauppanimi   Kauppanimi     

Trade names are indicative and excipients composition can be different depending on the country and manufacturers

Ambe 12 Saksa
Ambene B Saksa
B12 Ankermann Saksa
B12 Asmedic Saksa
B12 for injection Kanada, Saksa
B12 Vicotrat Saksa
Beto 12 Egypti
Betolvex Egypti, Norja, Ruotsi, Saudi-Arabia, Suomi, Sveitsi, Tanska, Yhdistyneet arabiemiirikunnat
Bitavion Iran
Cianocobalamina Chile, Ecuador, Kolumbia, Venezuela
Cidulvex Egypti
Citon Intia
Cobal Malesia
Cobex Kanada
Cozamon Venezuela
Cromatonbic B12 Espanja
Cyanocobalamin Egypti, Malesia, New Zealand, Yhdysvallat
Cyanocobalamine Malesia, Ranska
Cyanvit Iran
Cynovit Saudi-Arabia, Yhdistyneet arabiemiirikunnat
Cytamen Australia, Irlanti, Iso-Britannia
Cytobion Saksa, Saudi-Arabia
Dobetin Italia
Dodex Turkki
Droxofor Venezuela
Duradoce Meksiko
Emicobal Egypti
Hamo Vilobex Saksa
Hidro Doce 5000 Venezuela
Ibedox Venezuela
L Vit 12 Intia
Lifaton B12 Espanja
Lophakomp B12 Saksa
Optovite B12 Espanja
Osve Vitamin B12 Iran
Permadoze Portugali
Reedvit Argentiina
Reiculoger Ecuador, Espanja
Rowo Vitamin B12 Saksa
Rubivamin Egypti, Yhdysvallat
Vibalmin Iran
Vicapan Saksa
Viplex B12 Turkki
Vitakobal Turkki
Vitamina B12 Belgia, Ecuador, Iran, Itävalta, Kanada, Kolumbia, Malesia, Marokko, Norja, Romania, Saksa, Sveitsi, Tunisia, Venezuela, Yhdistyneet arabiemiirikunnat
Vitaminum B12 Puola
Vitarubine Sveitsi
Viitteet   Injektioneste   Viitteet : Cyanocobalamine  

  Mentions Légales