Viimeisin päivitys :
05/12/2025
Sienilääkkeet   Amphotericin B  
Silmätipat
Aerosoli Injektioneste Oraaliliuos Suuvesi
Vakaus lääkevalmisteen Stabilius seoksissa Tekijät, jotka vaikuttavat stabiliuteen Yhteensopivuus Viitteet pdf
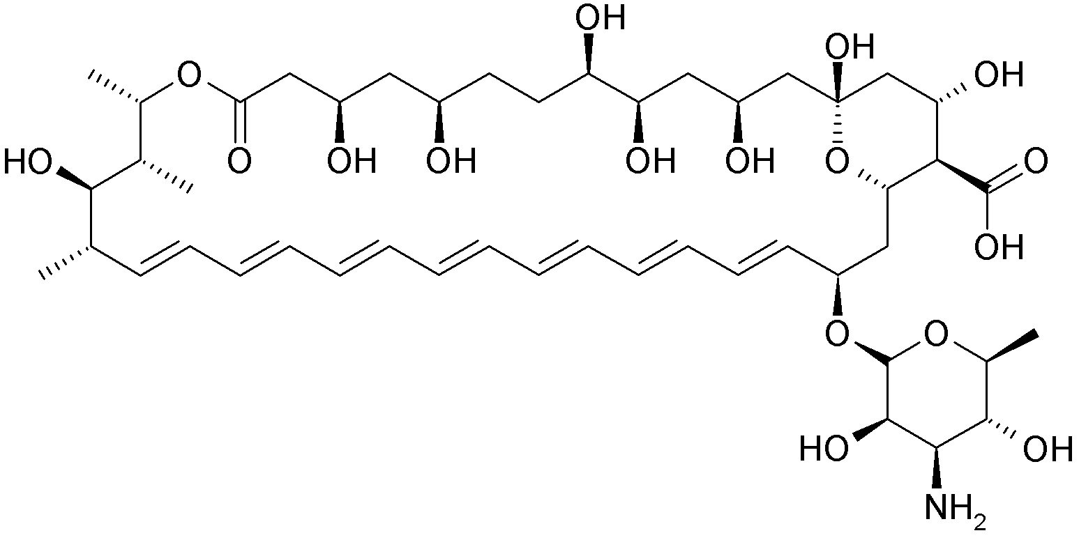
   Kemiallinen rakenne  

Silmätipat
Viitteet   Silmätipat   Viitteet : Amphotericin B  
tyyppi julkaisu
2867 Lehti Peyron F, Elias R, Ibrahim E, Amirat-Combralier V, Bu?s-Charbit M, Balansard G.
Stability of Amphotericin B in 5% Dextrose Ophthalmic Solution.
Int J Pharm Compound 1999 ; 3, 4: 316-320.
3848 Opinnäytetyö Dermu Marine.
Etude de stabilité d'un collyre à l'amphotéricine B 0,5%.
Thèse de doctorat en pharmacie 2014
4487 Lehti Chennell P, Yessaad M, Abd El Kader F, Jouannet M, Wasiak M, Bouattour Y, Sautou V.
Do Ophthalmic Solutions of Amphotericin B Solubilised in 2-Hydroxypropyl- -Cyclodextrins Possess an Extended Physicochemical Stability?
Pharmaceutics 2020 ; 12, 786.

  Mentions Légales