Siste oppdatering :
27/01/2026
kreft narkotika   Etoposide  
Mikstur
Injeksjon
Stabilitet av farmasøytiske preparater Stabilitet i blandinger Faktorer som påvirker stabiliteten Kompatibilitet Referanser pdf
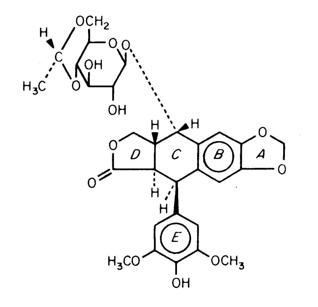
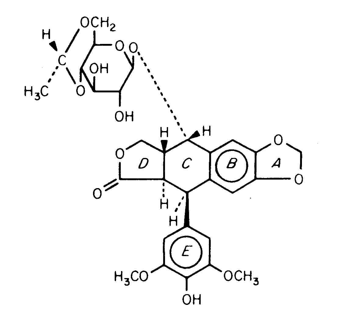
   Kjemisk struktur  

Mikstur

Faktorer som påvirker stabiliteten   Mikstur   Faktorer som påvirker stabiliteten : Etoposide        
Ingen opplysninger

  Mentions Légales