Seneste opdatering :
18/03/2026
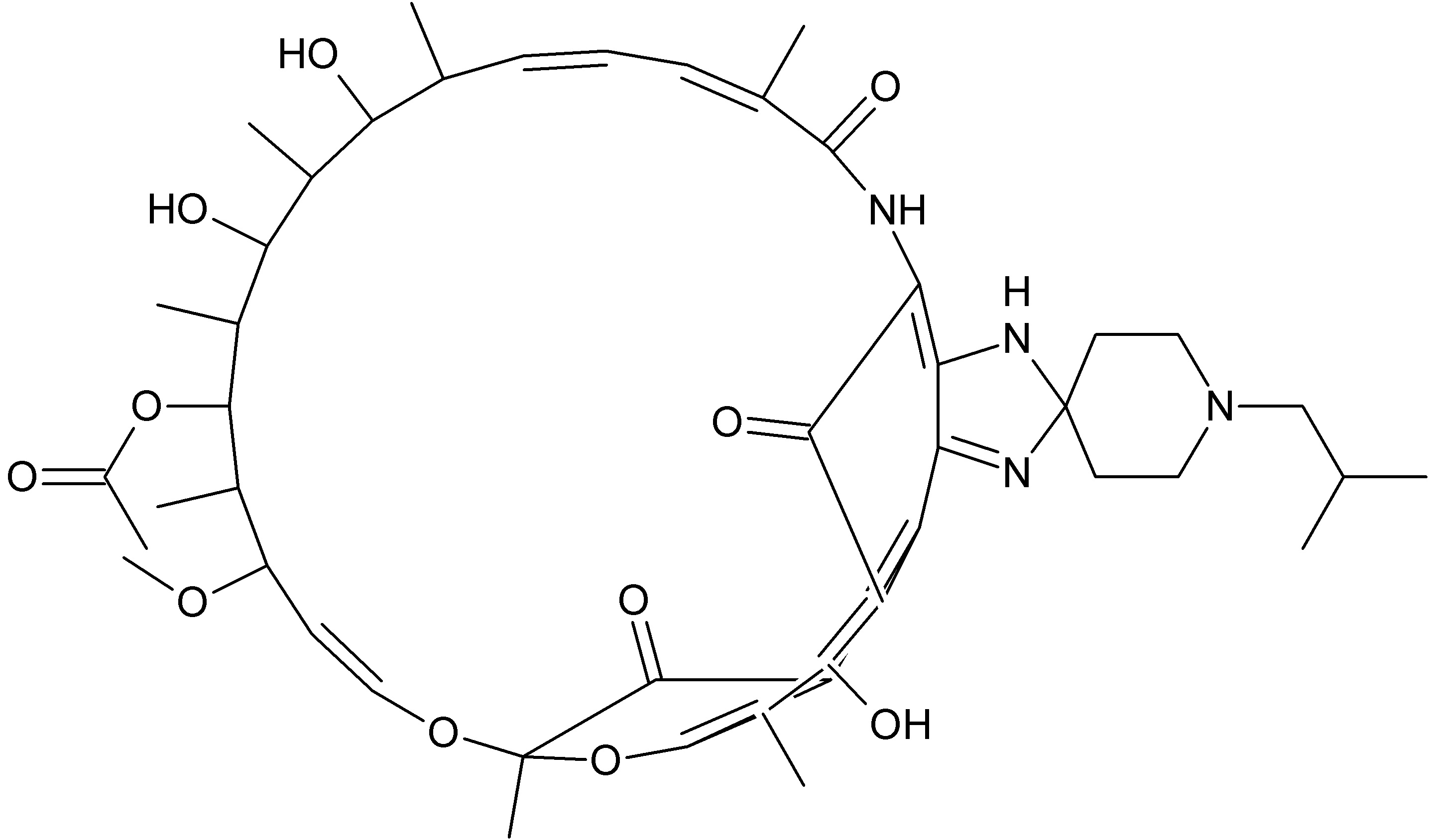
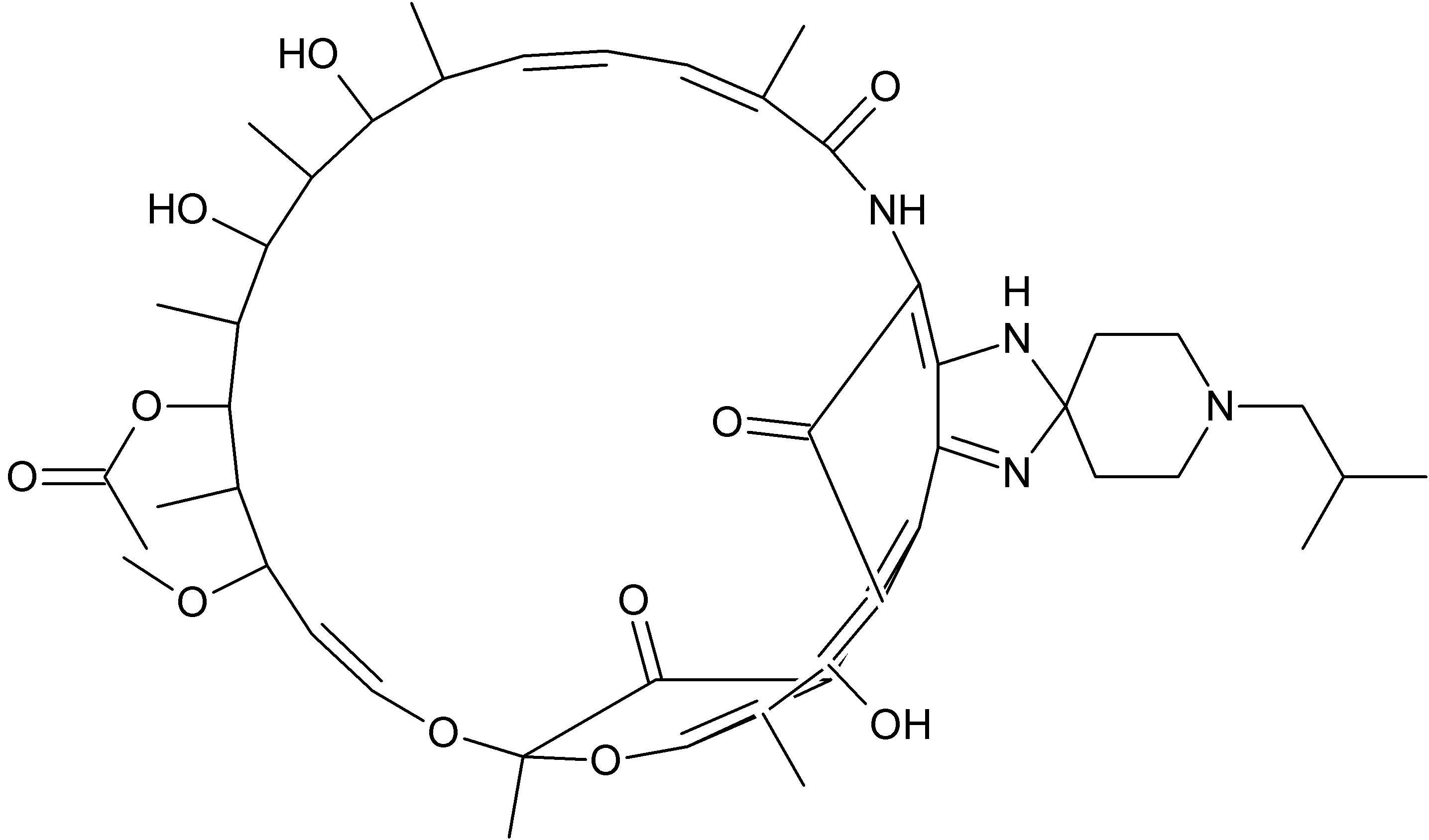
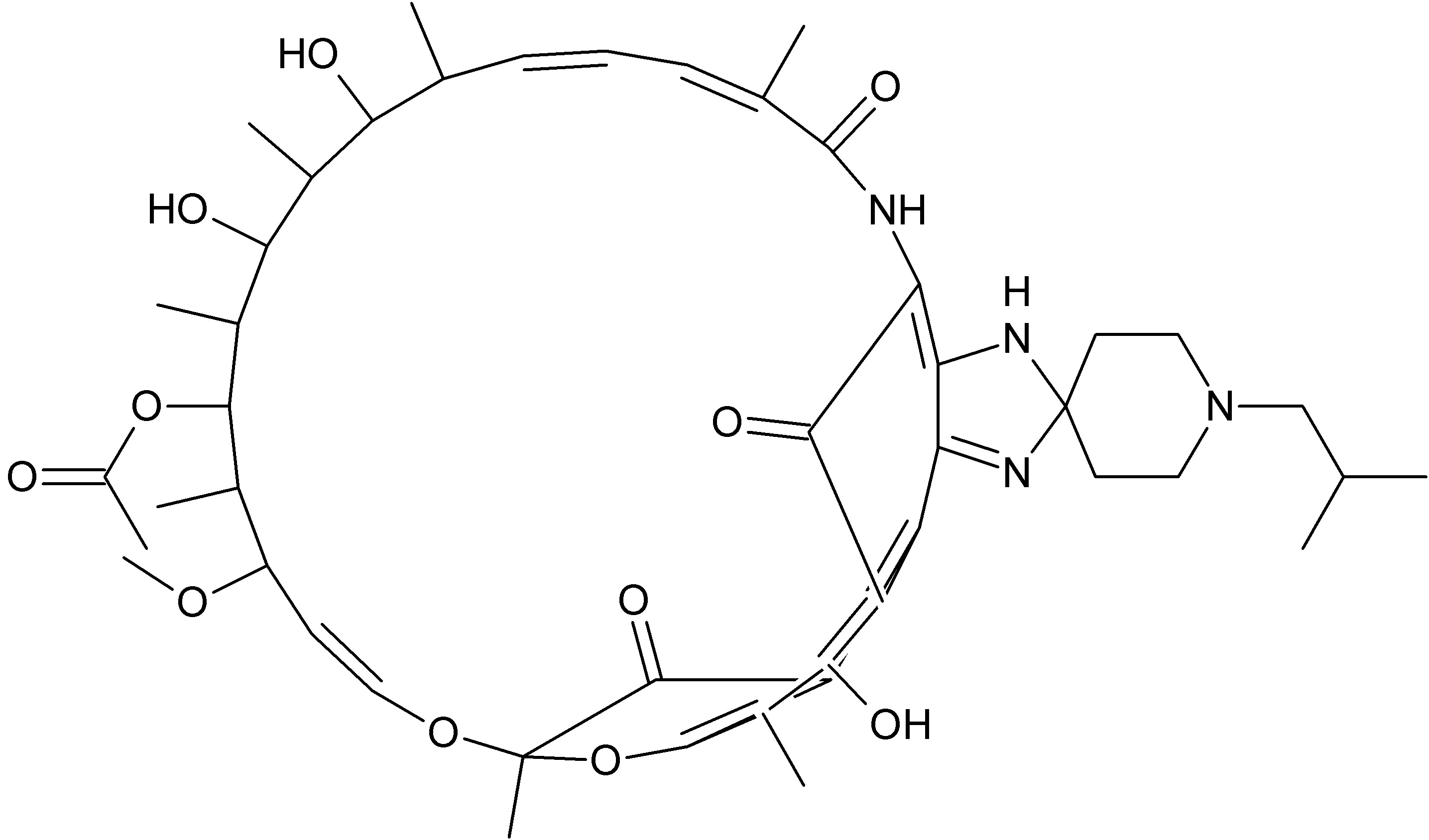
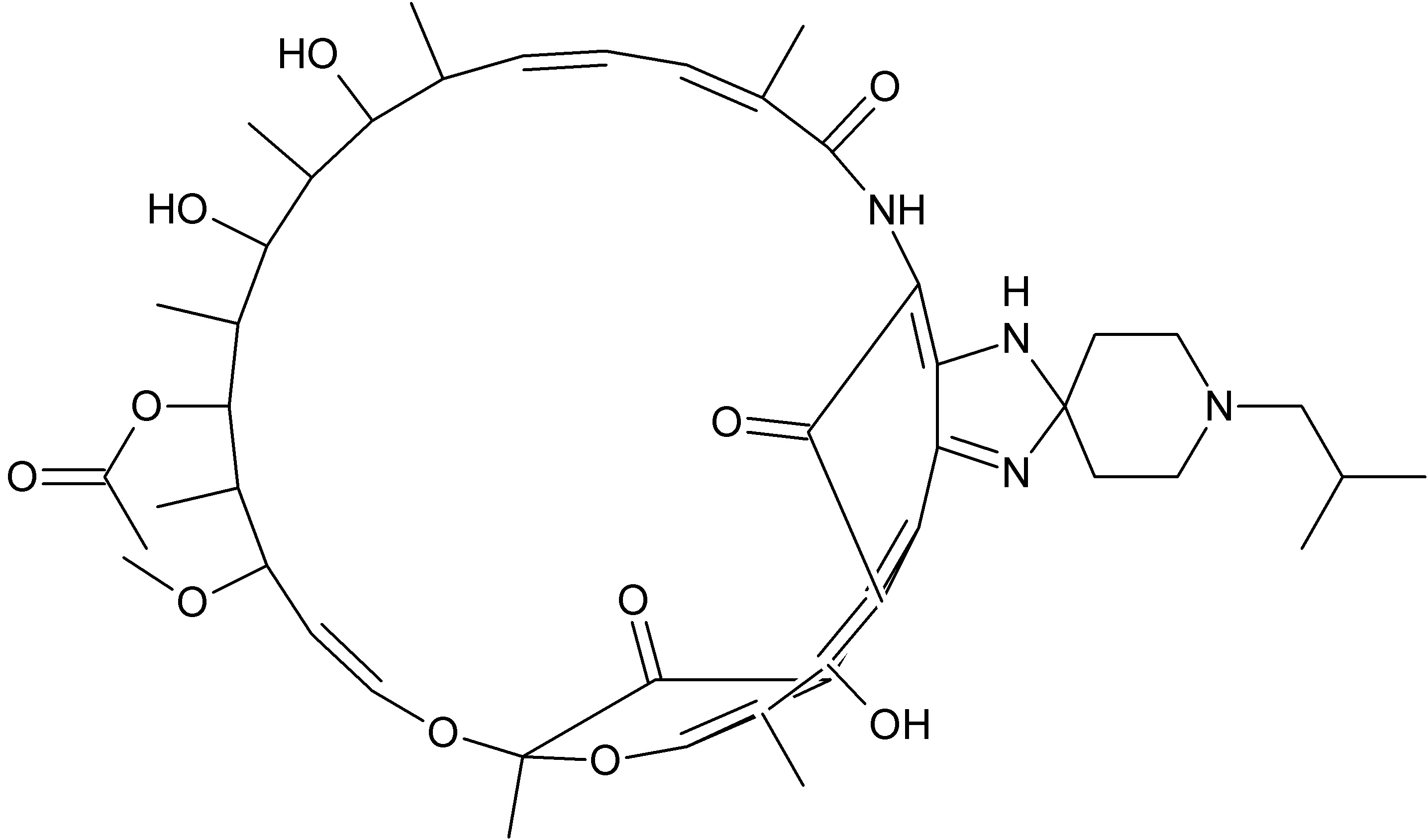
Antibiotisk   Rifabutin  
Oral opløsning
Stabilitet af farmaceutiske tilberedninger Stabilitet i blandinger Faktorer der påvirker stabiliteten Kompatibilitet Bibliografi pdf
   Kemisk struktur  

Oral opløsning
Stabilitet i blandinger   Oral opløsning   Stabilitet i blandinger : Rifabutin     
Ingen data

  Mentions Légales