Последно актуализиране :
27/11/2025
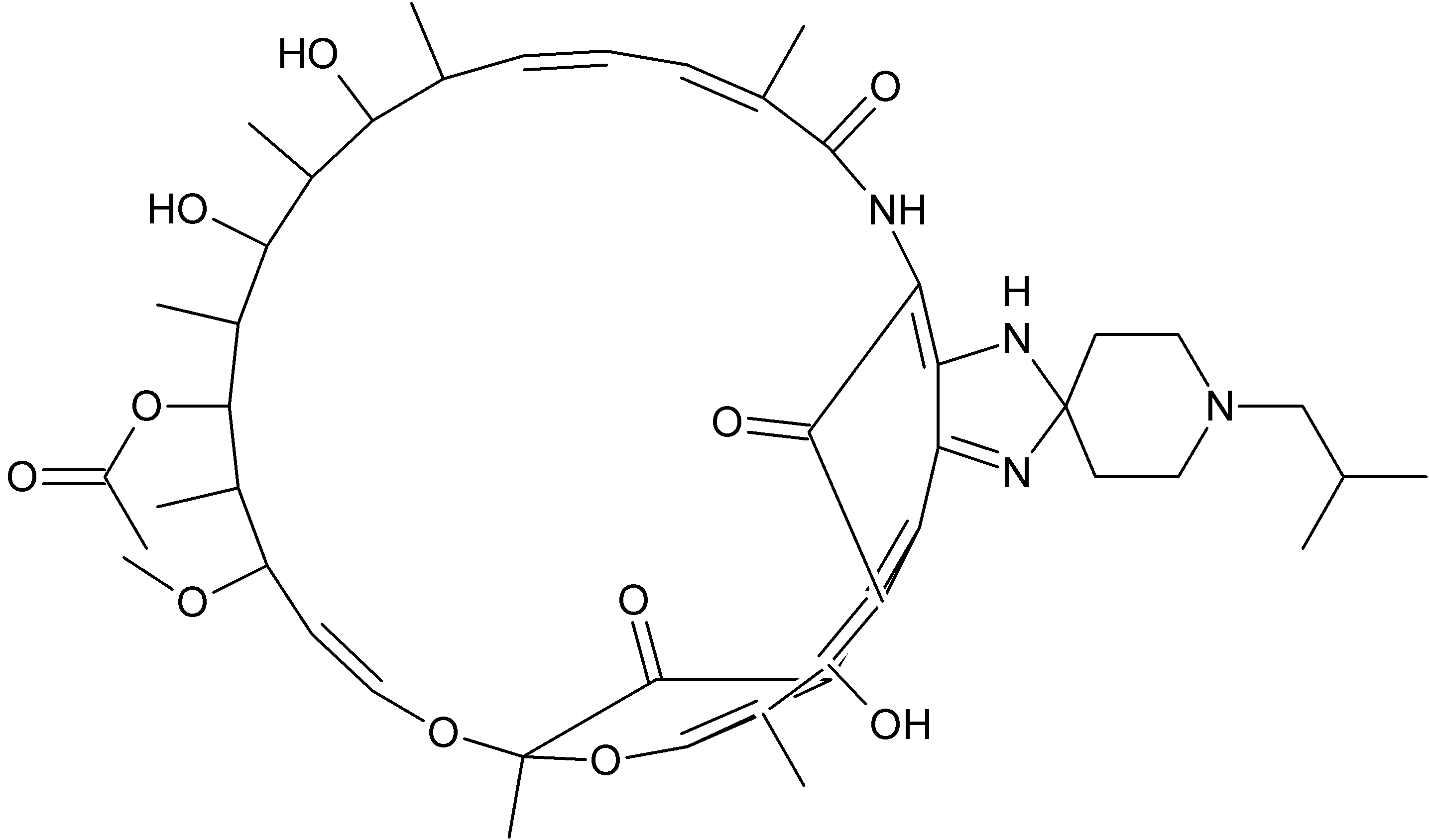
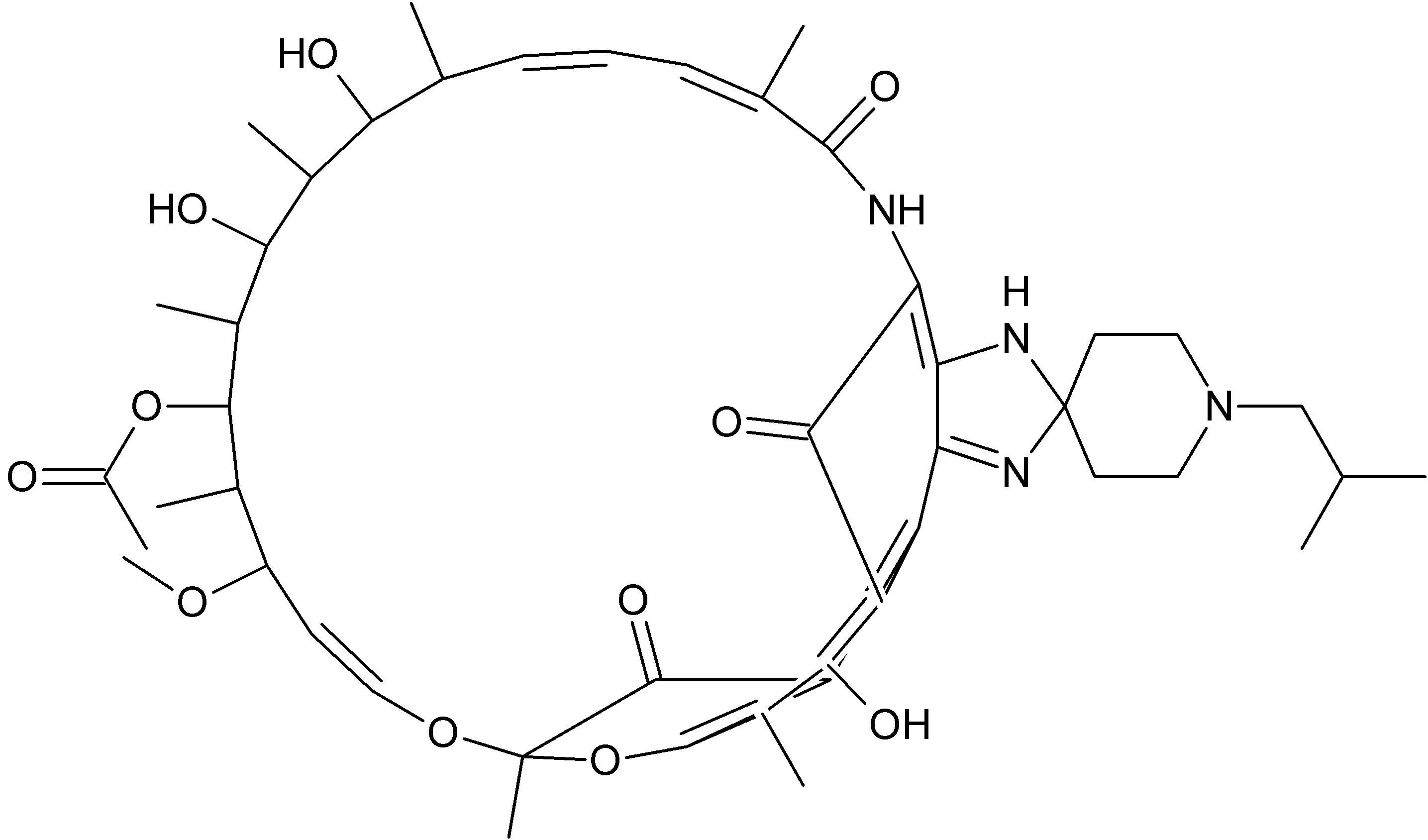
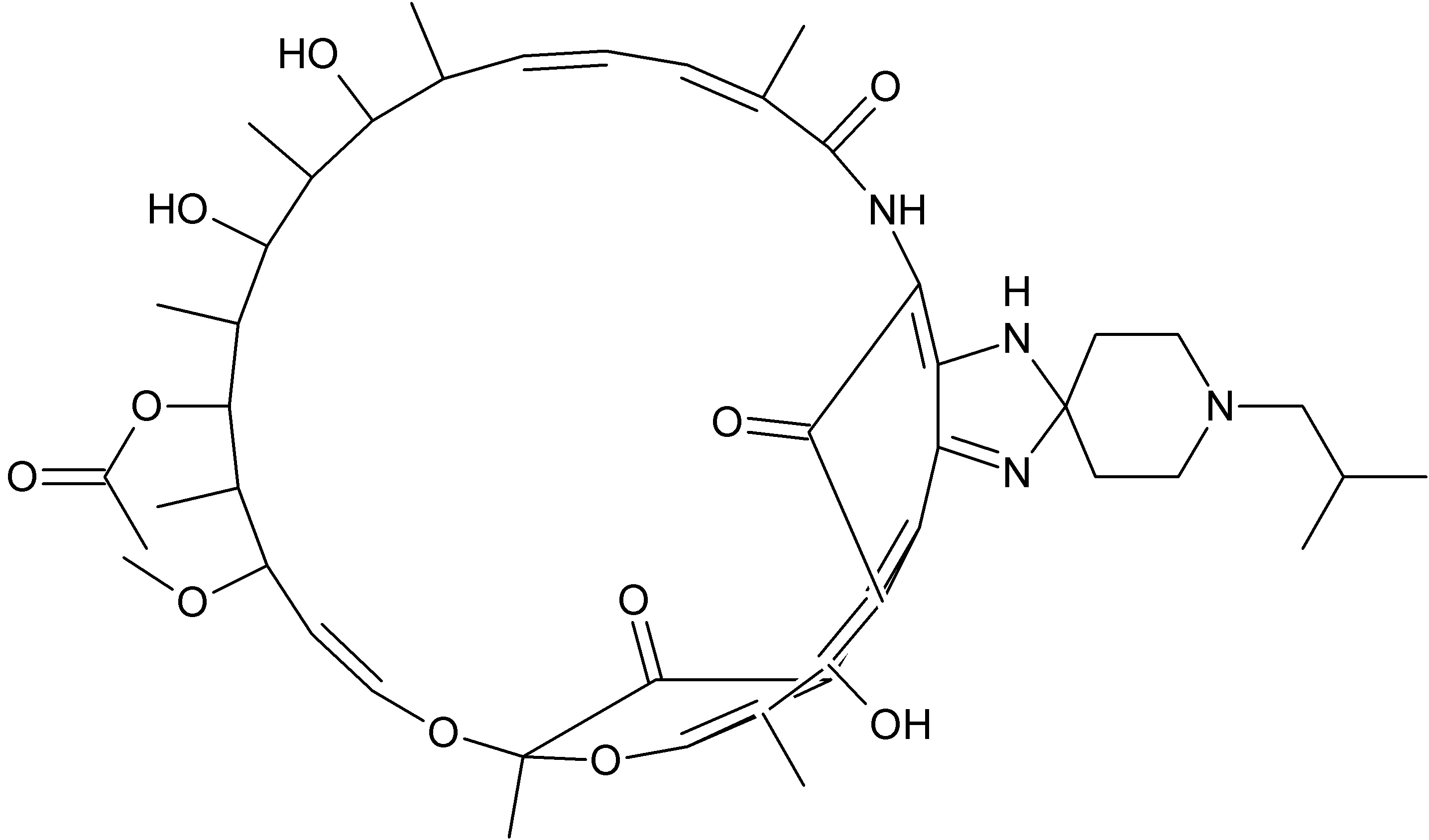
Антибиотик   Rifabutin  
Орален разтвор
Стабилност на лекарствени препарати Стабилност на смеси Фактори, повлияващи стабилността Съвместимост Библиография Pdf
   Химична структура  

Орален разтвор
Стабилност на смеси   Орален разтвор   Стабилност на смеси : Rifabutin     
Няма данни

  Mentions Légales