Zadnji put ažurirano :
18/03/2026
lijek protiv karcinoma   Cyclophosphamide  
injekcija
kapsula oralna otopina
Stabilizacija rješenja Stabilnost mješavine Stabilizacijski faktor Kompatibilnosti način davanja lijeka Bibliografija pdf
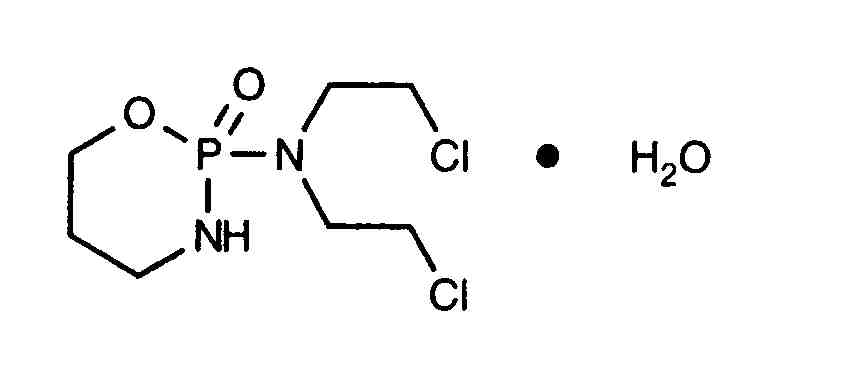
   Kemijska struktura  

Nekomercijalni   Nekomercijalni     

Zaštićeni nazivi su indikativni i sastav ekscipijensa može biti različit ovisno o državi i laboratorijima

Alkyloxan Egipat, Malezija
Celomide Indija
Ciclofosfamida Argentina, Čile, Rumunjska
Cicloxal Španjolska
Cryofaxol Meksiko
Cycloblastin Australija
Cycloblastine Nizozemska
Cyclophosphamid Danska, Njemačka
Cyclophosphamide novi Zeland, S A D, Saudijska Arabija, Velika Britanija
Cyclostin Njemačka
Cycloxan Malezija
Cycram Egipat
Cytoxan Kanada, Madžarska, S A D
Eldamide Indija
Endoxan Indija, Australija, Austrija, Belgija, Čile, Ekvador, Francuska, Grčka, Hrvatska, Iran, Italija, Kolumbija, Luksemburg, Madžarska, Maroko, Nizozemska, Njemačka, novi Zeland, Poljska, Portugal, Saudijska Arabija, Slovenija, Švicarska, Tajland, Tunis, Turska, Ujedinjeni Arapski Emirati, Venecuela
Endoxana Irska, Velika Britanija
Formitex Kolumbija, Meksiko
Genoxal Španjolska
Genuxal Brazil
Hidrofosmin Meksiko
Ledoxan Kolumbija
Ledoxina Kolumbija, Meksiko
Neophos Egipat
Neosar S A D
Procytox Kanada
Sendoxan Danska, Finska, Island, Norveška, Švedska
Syklofosfamid Finska, Turska
Bibliografija   injekcija   Bibliografija : Cyclophosphamide  
Vrsta Publikacija
3 Časopis Trissel LA, Martinez JF.
Compatibility of amifostine with selected drugs during simulated Y-site administration.
Am J Health-Syst Pharm 1995 ; 52: 2208-2212.
40 Časopis Dine T, Lebegue S, Benaji B, Gressier B, Segard V, Goudaliez F, Luyckx M, Brunet C, Mallevais ML, Kablan J, Cazin M, Cazin JC.
Stability and compatibility studies of four cytostatic agents (fluorouracil, dacarbazine, cyclophosphamide and ifosfamide) with PVC infusion bags.
Pharm Sci Communications 1994 ; 4: 97-101.
50 Časopis Fleming RA, Olsen DJ, Savage PD, Fox JL.
Stability of ondansetron hydrochloride and cyclophosphamide in injectable solutions.
Am J Health-Syst Pharm 1995 ; 52: 514-516.
57 Časopis Mayron D, Gennaro AR.
Stability and compatibility of granisetron hydrochloride in IV solutions and oral liquids and during simulated Y-site injection with selected drugs.
Am J Health-Syst Pharm 1996 ; 53: 294-304.
81 Časopis Trissel LA, Martinez JF.
Compatibility of piperacillin sodium plus tazobactam with selected drugs during simulated Y-site injection.
Am J Hosp Pharm 1994 ; 51: 672-678.
84 Časopis Trissel LA, Martinez JF.
Visual, turbidimetric, and particle-content assessment of compatibility of vinorelbine tartrate with selected drugs during simulated Y-site injection.
Am J Hosp Pharm 1994 ; 51: 495-499.
85 Časopis Trissel LA, Bready BB.
Turbidimetric assessment of the compatibility of taxol with selected other drugs during simulated Y-site injection.
Am J Hosp Pharm 1992 ; 49: 1716-1719.
91 Časopis Lober CA, Dollard PA.
Visual compatibility of gallium nitrate with selected drugs during Y-site injection.
Am J Hosp Pharm 1993 ; 50: 1208-1210.
99 Časopis Trissel LA, Martinez JF.
Compatibility of aztreonam with selected drugs during simulated Y-site administration.
Am J Health-Syst Pharm 1995 ; 52: 1086-1090.
150 Časopis Aujoulat P, Coze C, Braguer D, Raybaud C.
Physicochemical compatibility of methotrexate with co-administered drugs during cancer chemotherapy regimens.
J Pharm Clin 1993 ; 12: 31-35.
169 Časopis Trissel LA, Martinez JF.
Physical compatibility of melphalan with selected drugs during simulated Y-site administration.
Am J Hosp Pharm 1993 ; 50: 2359-2363.
170 Časopis Brooke D, Scott JA, Bequette RJ.
Effect of briefly heating cyclophosphamide solutions.
Am J Hosp Pharm 1975 ; 62: 44-45.
172 Časopis Beijnen JH, van Gijn R, Challa EE, Kaijser GP, Underberg WJM.
Chemical stability of two sterile, parenteral formulations of cyclophosphamide (Endoxan) after reconstitution and dilution in commonly used infusion fluids.
J Parenter Sci Technol 1992 ; 46: 111-116.
244 Časopis Trissel LA, Martinez JF.
Compatibility of filgrastim with selected drugs during simulated Y-site administration.
Am J Hosp Pharm 1994 ; 51: 1907-1913.
249 Časopis Trissel LA, Martinez JF.
Compatibility of thiotepa (lyophilized) with selected drugs during simulated Y-site administration.
Am J Health-Syst Pharm 1996 ; 53: 1041-1045.
251 Časopis Trissel LA, Gilbert DL, Martinez JF.
Compatibility of doxorubicin hydrochloride liposome injection with selected other drugs during simulated Y-site administration.
Am J Health-Syst Pharm 1997 ; 54: 2708-2713.
300 Časopis Trissel LA, Gilbert DL, Martinez JF.
Compatibility of propofol injectable emulsion with selected drugs during simulated Y-site administration.
Am J Health-Syst Pharm 1997 ; 54: 1287-1292.
301 Časopis Trissel LA, Gilbert DL, Martinez JF, Baker MB, Walter WV, Mirtallo JM.
Compatibility of parenteral nutrient solutions with selected drugs during simulated Y-site administration.
Am J Health-Syst Pharm 1997 ; 54: 1295-1300.
307 Časopis Trissel LA, Martinez JF.
Compatibility of allopurinol sodium with selected drugs during simulated Y-site administration.
Am J Hosp Pharm 1994 ; 51: 1792-1799.
331 Časopis Marquardt ED.
Visual compatibility of hydroxyzine hydrochloride with various antineoplasic agents.
Am J Hosp Pharm 1988 ; 45: 2127.
334 Časopis Trissel LA, Tramonte SM, Grilley BJ.
Visual compatibility of ondansetron hydrochloride with selected drugs during simulated Y-site injection.
Am J Hosp Pharm 1991 ; 48: 988-992.
335 Časopis Trissel LA, Bready BB, Kwan JW, Santiago NM.
Visual compatibility of sargramostim with selected antineoplasic agents, anti-infectives, or other drugs during simulated Y-site injection.
Am J Hosp Pharm 1992 ; 49: 402-406.
491 Časopis Turowski RC, Durthaler JM.
Visual compatibility of idarubicin hydrochloride with selected drugs during simulated Y-site injection.
Am J Hosp Pharm 1991 ; 48: 2181-2184.
492 Časopis Trissel LA, Parks NPT, Santiago NM.
Visual compatibility of fludarabine phosphate with antineoplastic drugs, anti-infectives, and other selected drugs during simulated Y-site injection.
Am J Hosp Pharm 1991 ; 48: 2186-2189.
660 Časopis Michaels MR, Stauffer GL, Haas DP.
Propofol compatibility with other intravenous drug products - Two new methods of evaluating IV emulsion compatibility.
Ann Pharmacotherapy 1996 ; 30: 228-232.
905 Časopis Trissel LA, Martinez JF.
Screening teniposide for Y-site physical incompatibilities.
Hosp Pharm 1994 ; 29: 1010-1017.
921 Časopis Trissel LA, Gilbert DL, Martinez JF.
Incompatibility and compatibility of amphotericin B cholesteryl sulfate complex with selected other drugs during simulated Y-site administration.
Hosp Pharm 1998 ; 33: 284-292.
1026 Časopis Mayron D, Gennaro AR.
Stability and compatibility of topotecan hydrochloride with selected drugs.
Am J Health-Syst Pharm 1999 ; 56: 875-881.
1410 Časopis Trissel LA, Martinez JF, Simmons M.
Compatibility of etoposide phosphate with selected drugs during simulated Y-site injection.
J Am Pharm Assoc 1999 ; 39: 141-145.
1415 Časopis Trissel L.A, Gilbert D.L, Martinez J.F, Baker M.B, Walter W.V, Mirtallo J.M.
Compatibility of medications with 3-in-1 parenteral nutrition admixtures.
JPEN 1999 ; 23: 67-74.
1423 Časopis Trissel LA, Martinez JF, Gilbert DL.
Compatibility of gemcitabine hyrochloride with 107 selected drugs during simulated Y-site injection.
J Am Pharm Assoc 1999 ; 39: 514-518.
1496 Časopis Trissel LA, Martinez JF, Gilbert DL.
Screening cladribine for Y-site physical compatibility with selected drugs.
Hosp Pharm 1996 ; 31: 1425-1428.
1520 Laboratorija Etude de stabilité des médicaments en Ecoflac®
B Braun 2001
1625 Časopis Trissel LA, Saenz C, Williams YW, Ingram D.
Incompatibilities of lansoprazole injection with other drugs during simulated Y-site coadministration.
Int J Pharm Compound 2001 ; 5: 314-321.
1662 Časopis Trissel LA, Saenz CA, Ingram DS, Ogundele AB.
Compatibility screening of oxaliplatin during simulated Y-site administration with other drugs.
J Oncol Pharm Practice 2002 ; 8: 33-37.
1728 Časopis Mittner A, Vincze Z, Jemnitz.
Stability of cyclophosphamide containing infusions.
Pharmazie 1999 ; 54: 224-225.
1833 Časopis Menard C, Bourguignon C, Schlatter J, Vermerie N.
Stability of cyclophosphamide and mesna admixtures in polyethylene infusion bags.
Ann Pharmacotherapy 2003 ; 37, 12: 1789-1792.
1925 Časopis Trissel LA , Williams KY, Gilbert DL.
Compatibility screening of linezolid injection during simulated Y-site administration with other drugs and infusion solutions.
J Am Pharm Assoc 2000 ; 40: 515-519.
1953 Časopis Trissel LA, Saenz CA, Ogundele AB, Ingram DS.
Physical compatibility of pemetrexed disodium with other drugs during simulated Y-site administration.
Am J Health-Syst Pharm 2004 ; 61: 2289-2293.
1982 Časopis Trissel LA, Ogundele AB.
Compatibility of anidulafungin with other drugs during simulated Y-site administration.
Am J Health-Syst Pharm 2005 ; 62: 834-837.
2016 Časopis Xu QA, Trissel LA.
Compatibility of palonosetron with cyclophosphamide and with ifosfamide during Y-site administration.
Am J Health-Syst Pharm 2005 ; 62: 1998-2000.
2104 Časopis Iriarte Izura MA, Gozalo garcia MJ, Marcotegui Ros F, Nagore Indurain C, Urdaniz Baztan AO.
Estudio de la estabilidad de mezclas ciclofosfamida/mesna e ifosfamida/mesna en soluciones intravenosas de gran volumen.
Farm Hosp 2000 ; 24: 145-150
2262 Časopis Brammer MK, Chan P, Heatherly K, Trusley C, Kupiec TC, Trissel LA, Psathas PA, Gilmor T, Schaufelberger D.
Compatibility of doripenem with other drugs during simulated Y-site administratioN
Am J Health-Syst Pharm 2008 ; 65: 1261-1265.
3128 Laboratorija Mitomycine (Amétycine®) - Résumé Caractéristiques du Produit
Prostrakan 2013
3574 Laboratorija Ondansetron - Résumé des caractéristiques du produit
Accord Healthcare France SAS 2013
4471 Laboratorija Amétycine 10 mg poudre pour solution injectable - Résumé des caractéristiques du produit - Oct 10, 2019
Kyowa Kirin Pharma 2019
4865 Laboratorija Cyclophosphamide REDDY PHARMA 2000 mg/4 ML, solution à diluer pour solution injectable/perfusion. - Résumé des caractéristiques du produit.
Dr REDDY laboratoire 2024
4989 Laboratorija Extended dilution stability study report of cyclophosphamide concentrate for solution for infusion at room temperature and refrigerated condition ( 2-8°C) - Personal communication - July 2025
Dr REDDY 2023

  Mentions Légales