viimane versioon :
18/03/2026
antibiootikum   Colistin mesilate sodium  
Süsteravim
aerosool
Stabiilsus lahustes Stabiilsust mõjutavad tegurid stabiilsust mõjutavad faktorid Sobimatus Manustamis viis Viited pdf
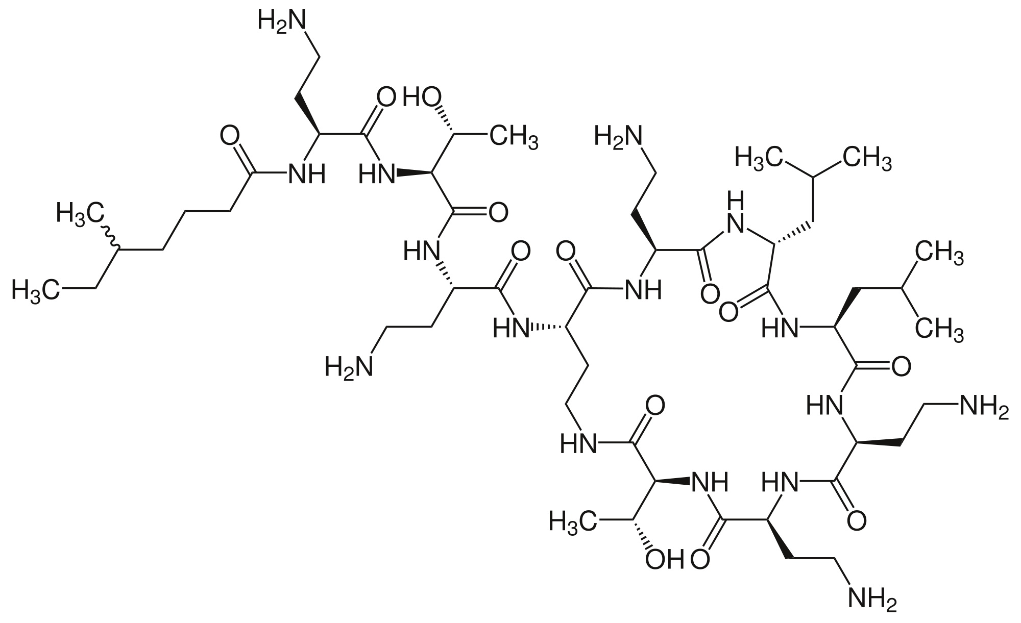
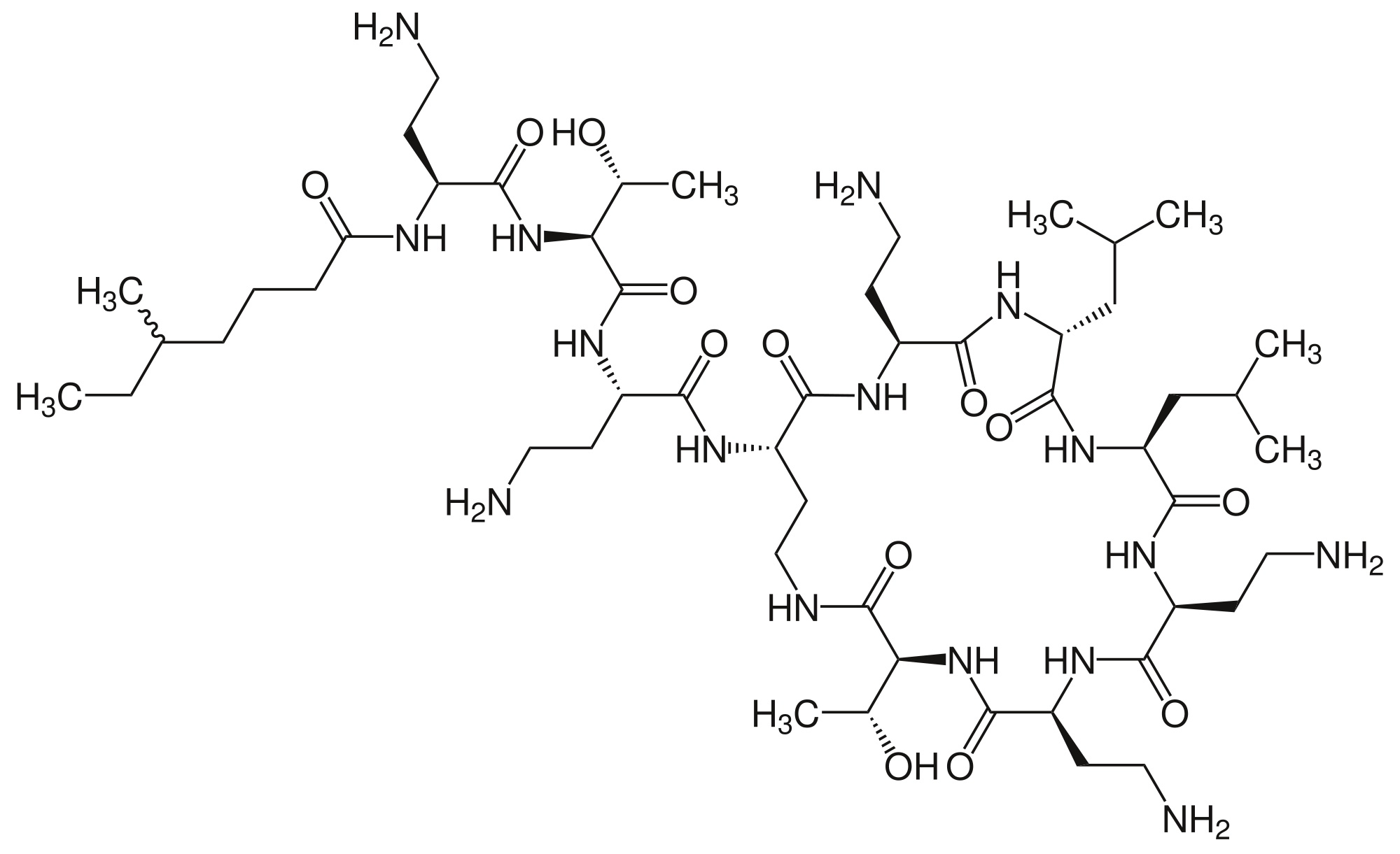
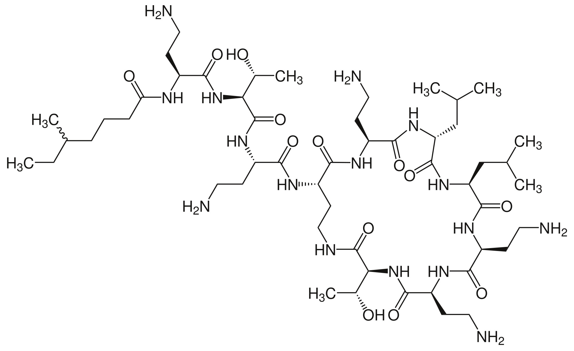
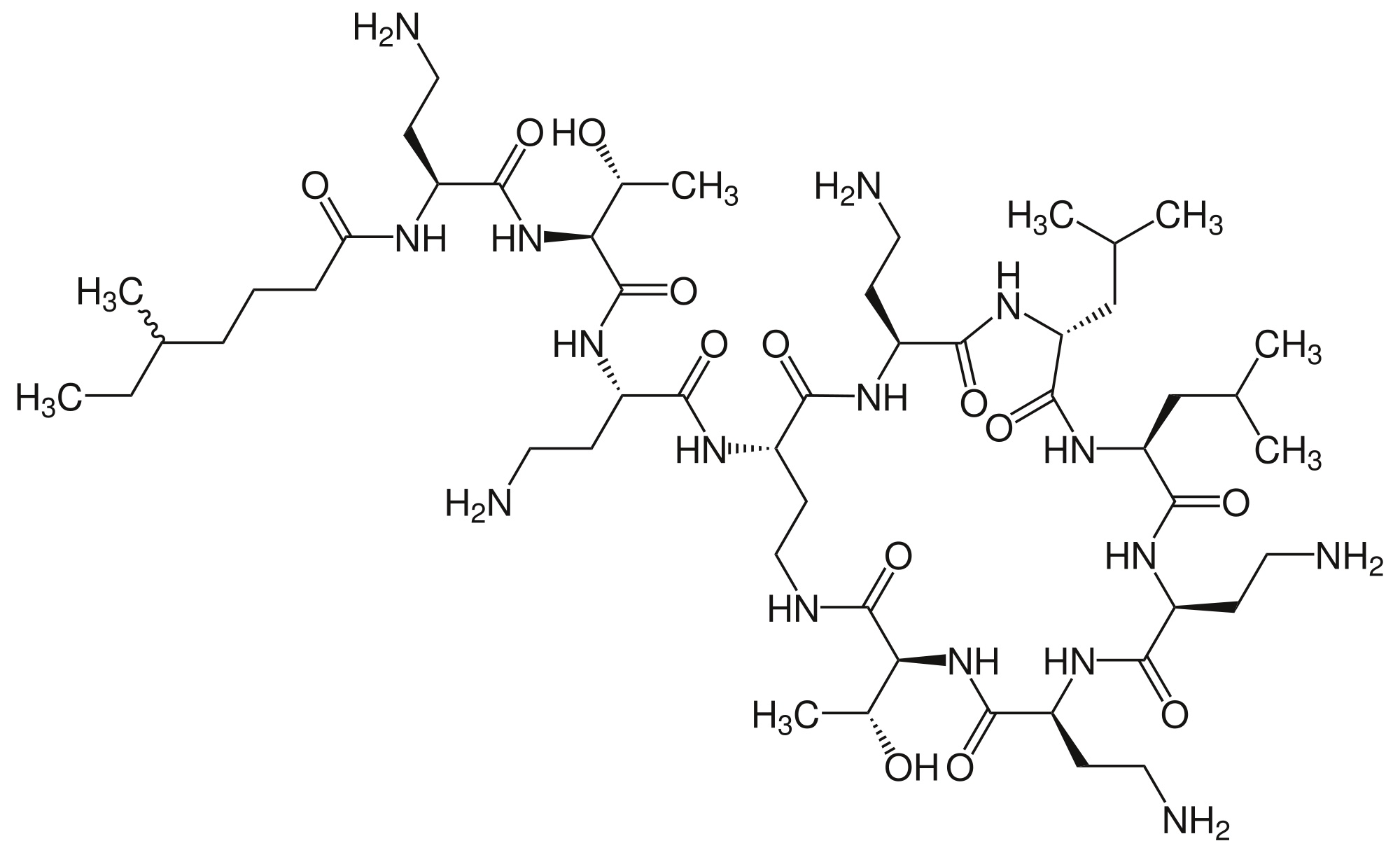
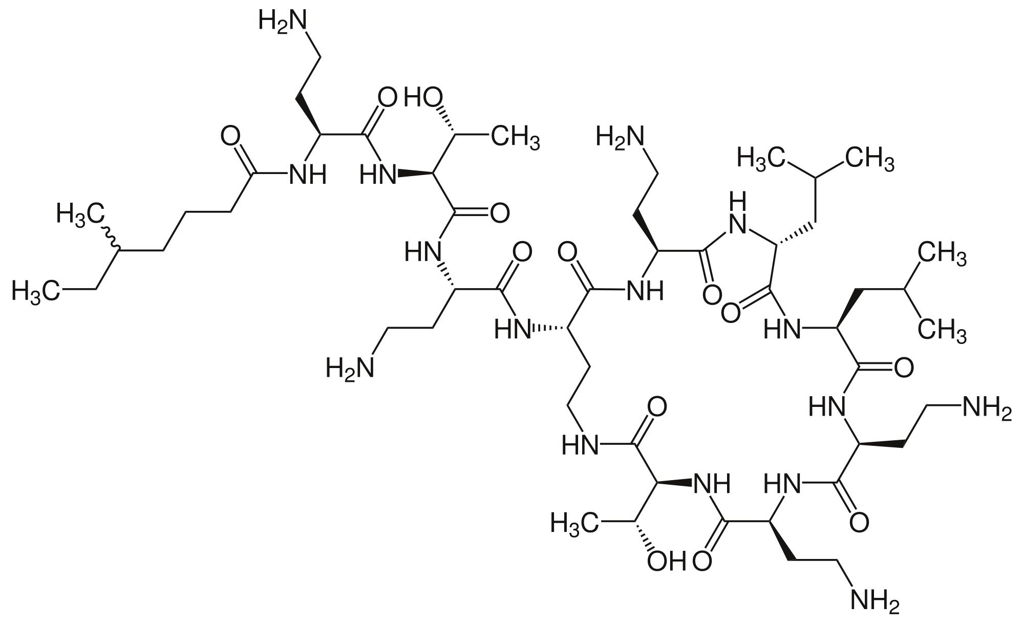
   keemiline struktuur  

Kaubanduslikud nimed erinevates maades   Kaubanduslikud nimed erinevates maades     

Preparaatide nimed on näitlikud ja abianete sisaldus võib erineda sõltuvalt riigist ja laborist

Alficetin Argentiina
Colimicina Itaalia
Colimycin Norra, Taani, Türgi
Colimycine Holland, Luksemburg, Maroko, Prantsusmaa, Tuneesia
Colismet Maroko
Colistimethate Ameerika ühendriigid, Kanada, Prantsusmaa, Suurbritannia
Colistin Austria, Kreeka, Poola, Saksamaa, uus-Meremaa
Colistina Argentiina, Portugal, Tšiili
Colistineb Belgia
Colistyn Argentiina
Colixin Sloveenia
Colomycin Ameerika ühendriigid, Iirimaa, Kanada, Malaisia, Suurbritannia
Dicupal Tšiili
Elistin Maroko
Kolisod Türgi
Nolisin
Promixin Iirimaa, Norra, Saksamaa, Suurbritannia
Toliscrin Argentiina
Stabiilsust mõjutavad tegurid   Süsteravim   Stabiilsust mõjutavad tegurid : Colistin mesilate sodium     
andmed puuduvad

  Mentions Légales