最新更新 :
27/11/2025
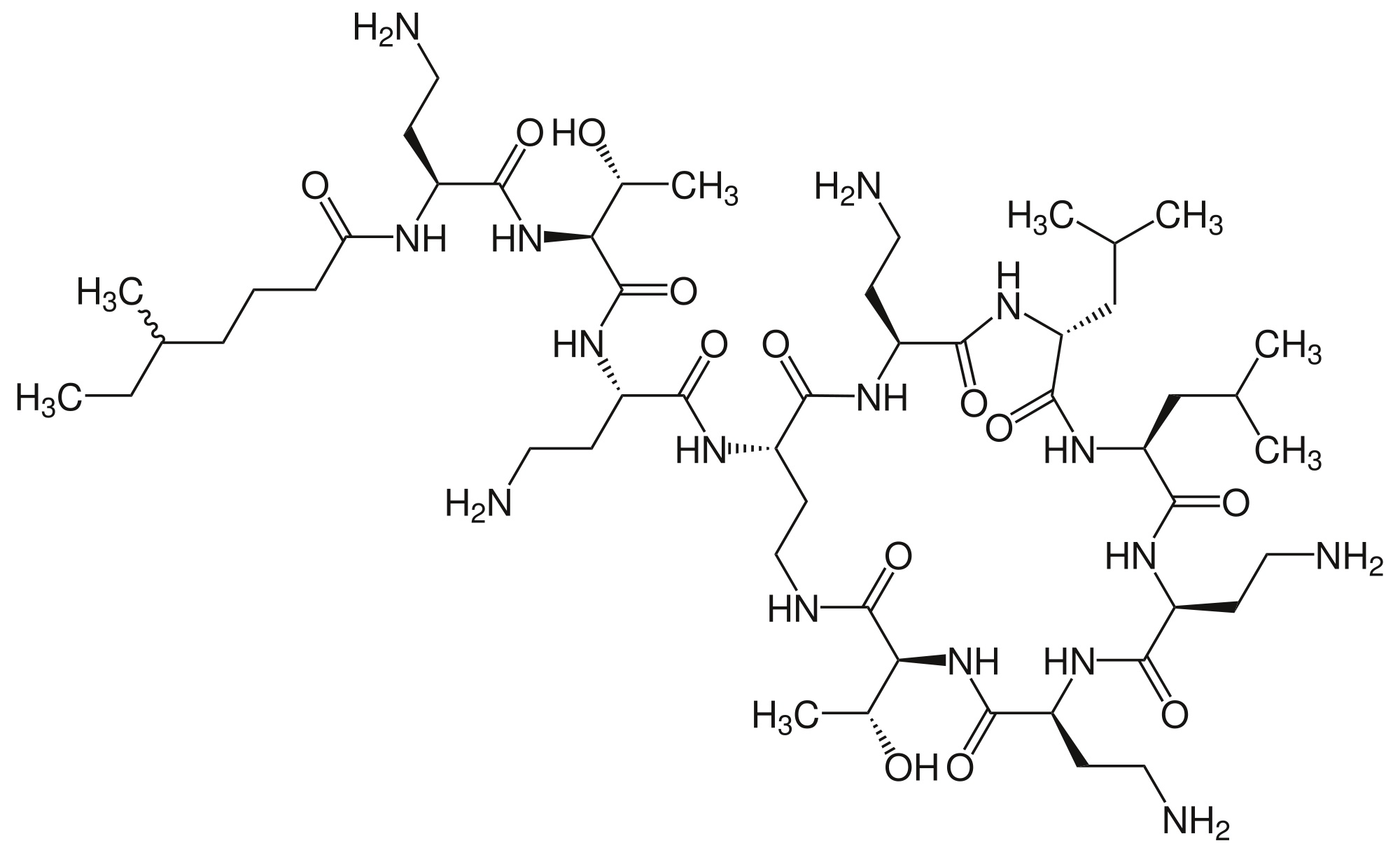
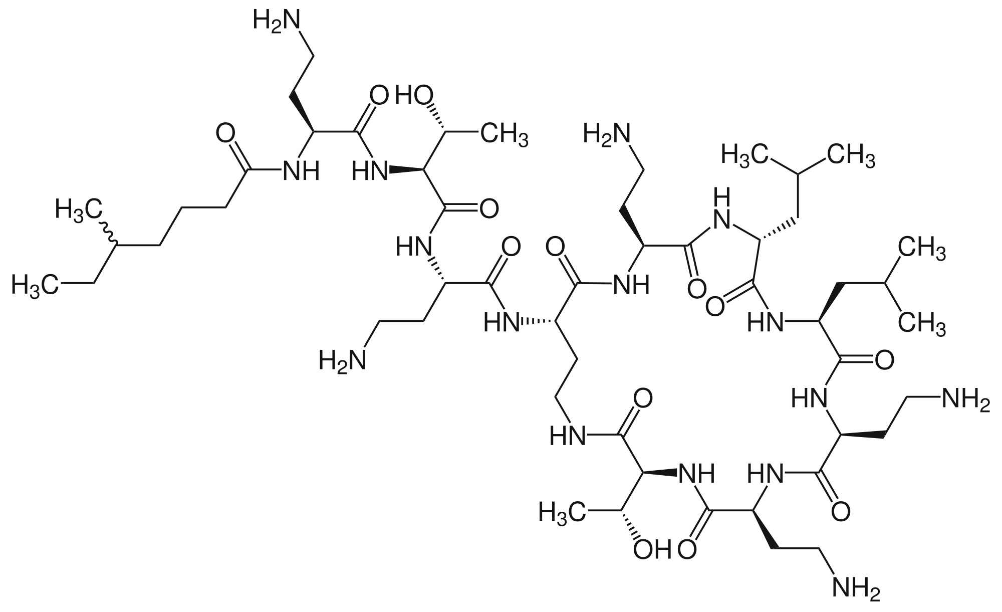
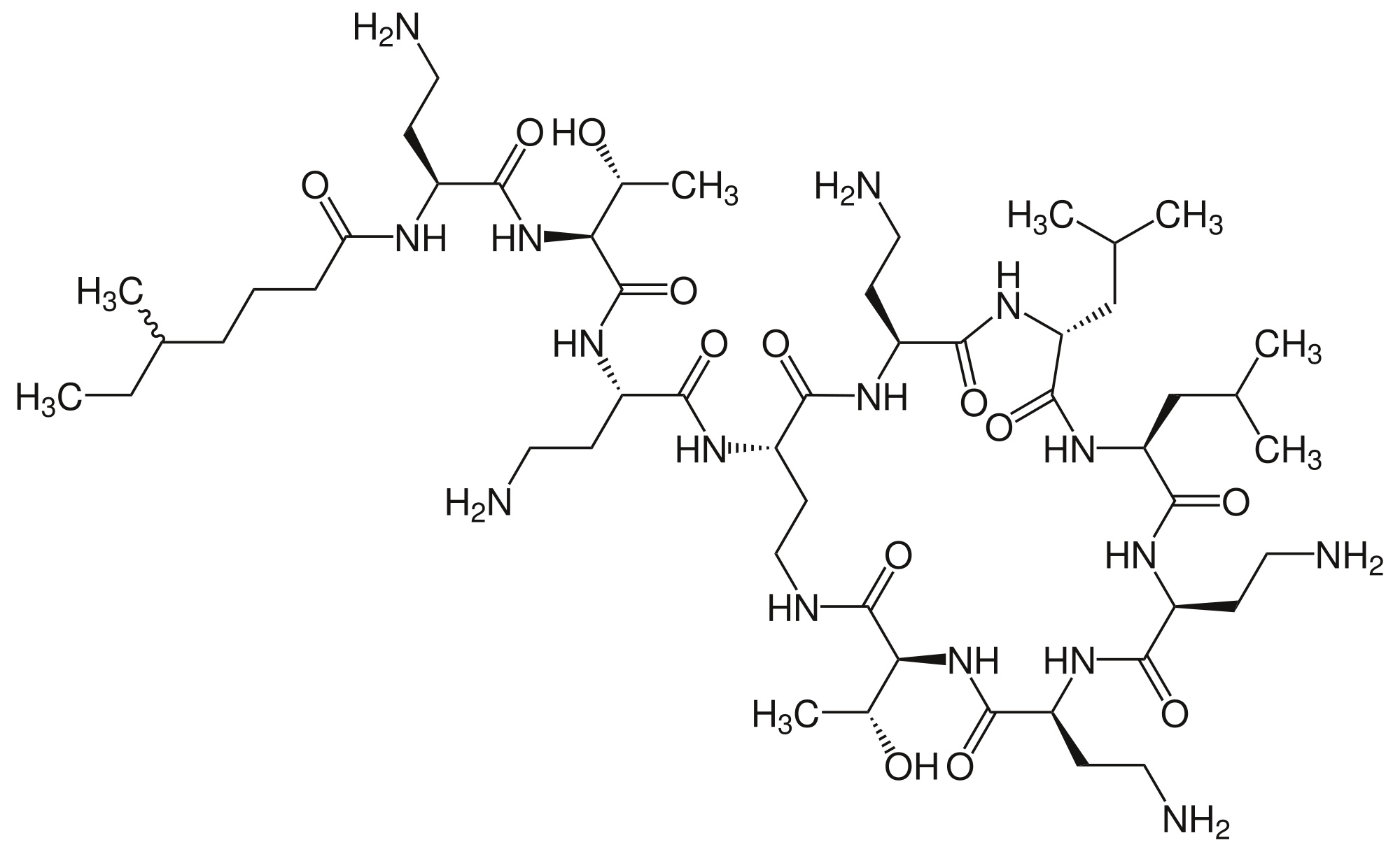
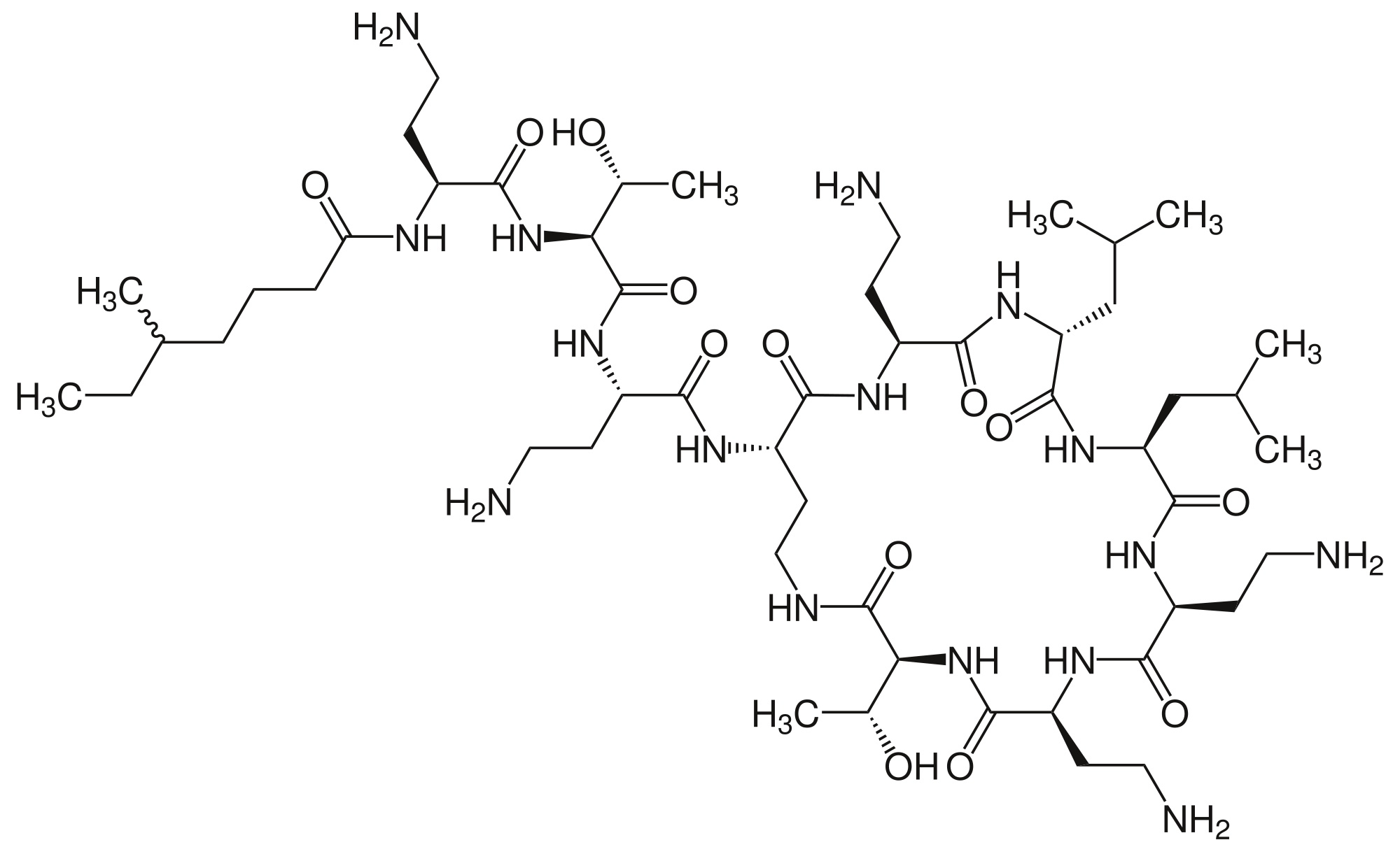
抗生素   Colistin mesilate sodium  
注射液
气雾剂
溶液稳定性 混合物稳定性 影响稳定性的因素 兼容性 用药途径 引用文献 PDF
   化学式  

商品名   商品名     

商品名仅供参考, 药品所用的辅料可能依国家或厂商不同有所不同。

Alficetin 阿根廷
Colimicina 意大利
Colimycin 丹麦, 土耳其, 挪威
Colimycine 卢森堡, 摩洛哥, 法国, 突尼斯, 荷兰
Colismet 秘鲁
Colistimethate 加拿大, 法国, 美国, 英国
Colistin 奥地利, 希腊, 德国, 新西蘭, 波兰
Colistina 智利, 葡萄牙, 阿根廷
Colistineb 比利时
Colistyn 阿根廷
Colixin 斯洛文尼亚
Colomycin 加拿大, 爱尔兰, 美国, 英国, 马来西亚
Dicupal 智利
Elistin 秘鲁
Kolisod 土耳其
Nolisin
Promixin 德国, 挪威, 爱尔兰, 英国
Toliscrin 阿根廷
混合物稳定性   注射液   混合物稳定性 : Colistin mesilate sodium     
无数据

  Mentions Légales