Senaste uppdateringen :
27/11/2025
Antibiotikum   Azithromycine  
injektion
Salvor
Lösningars stabilitet Stabilitet i blandningar Faktorer som påverkar stabiliteten Kompatibilitet Administreringssätt Hänvisningar pdf
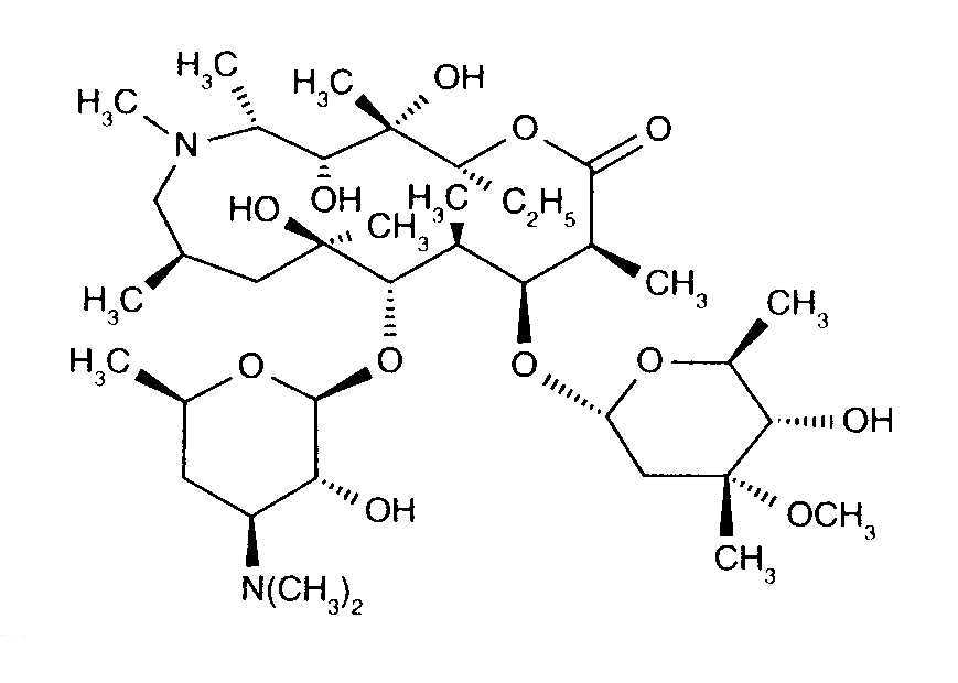
   Molekylstruktur  

Varunamn   Varunamn     

Angivna handelsnamn på läkemedel är enbart vägledande då formulering inklusive hjälpämnen kan variera mellan länder och tillverkare

Azithromycin Kanada
Azithromycina Ecuador
Azithromycine Dr Erbeth Tyskland
Azitromax Sverige
Sumamed Polen, Ungern
Zaret Colombia
Zedbac Irland, Storbritannien
Zetamac Tjeckien
Zithromac Japan
Zithromax Australien, Chile, Egypten, Finland, Förenade Arabemiraten, Förenta Staterna, Kanada, Malaysia, Portugal, Saudi-Arabien
Stabilitet i blandningar   injektion   Stabilitet i blandningar : Azithromycine     
Ingen uppgift

  Mentions Légales