Dernière mise à jour :
18/03/2026
Produit de contraste   Gadoterate meglumine  
injectable
Stabilité des solutions Stabilité en mélange Facteur influençant la stabilité Compatibilités Voie d’administration Bibliographie pdf
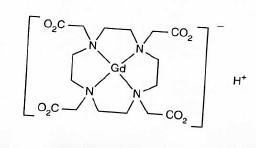
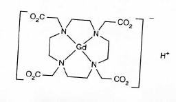
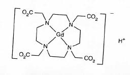
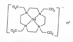
   Structure chimique  

Noms commerciaux   Noms commerciaux     

Les noms commerciaux sont donnés à titre indicatif et la composition en excipients peut être différente selon les pays et selon les laboratoires

Artirem Allemagne, Pays bas
Ciclolux Allemagne, Espagne
Clariscan Allemagne, Autriche, Belgique, Chili, Espagne, Finlande, Hongrie, Irlande, Luxembourg, Norvège, Pérou, Suède, Suisse
Cyclolux Allemagne, Espagne, Hongrie
Dotagita Allemagne, Roumanie
Dotagraf Allemagne, Espagne, Irlande, Suisse
Dotarem Allemagne, Arabie Saoudite, Argentine, Australie, Autriche, Belgique, Chili, Colombie, Danemark, Egypte, Espagne, Finlande, France, Grèce, Hongrie, Iran, Irlande, Italie, Luxembourg, Malaisie, Norvège, Pérou, Portugal, Roumanie, Suède, Suisse, Tunisie, Turquie, Vénézuela

Facteur influençant la stabilité   injectable   Facteur influençant la stabilité : Gadoterate meglumine        
Aucune donnée

  Mentions Légales