Seneste opdatering :
18/03/2026
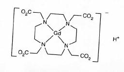
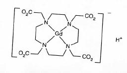
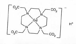
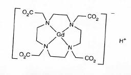
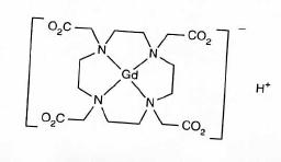
radiocontrast agent   Gadoterate meglumine  
Injektion
Stabilitet i (vandige) opløsninger Stabilitet i blandinger Faktorer der påvirker stabiliteten Kompatibilitet Administrationsvej Bibliografi pdf
   Kemisk struktur  

Handelsnavn   Handelsnavn     

Handel navne er vejledende og hjælpestoffer sammensætning kan være forskellig afhængigt af landet og laboratorier

Artirem Holland, Tyskland
Ciclolux Spanien, Tyskland
Clariscan Belgien, Chile, Finland, Irland, Luxemborg, Marokko, Norge, Schweiz, Spanien, Sverige, Tyskland, Ungarn, Østrig
Cyclolux Spanien, Tyskland, Ungarn
Dotagita Rumænien, Tyskland
Dotagraf Irland, Schweiz, Spanien, Tyskland
Dotarem Argentina, Australien, Belgien, Chile, Colombia, Danmark, Finland, Frankrig, Grækenland, Iran, Irland, Italien, Luxemborg, Malaysia, Marokko, Norge, Portugal, Rumænien, Saudi-Arabien, Schweiz, Spanien, Sverige, Tunesien, Tyrkiet, Tyskland, Ungarn, Venezuela, Ægypten, Østrig

Faktorer der påvirker stabiliteten   Injektion   Faktorer der påvirker stabiliteten : Gadoterate meglumine        
Ingen data

  Mentions Légales