Останнє оновлення :
18/03/2026
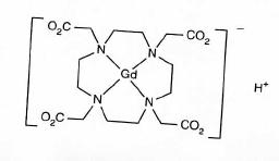
Рентгеноконтрастна речовина   Gadoterate meglumine  
ін'єкція
Стійкість в розчинах Стійкість сумішей Фактори, що впливають на стабільність Сумісність Шлях введення Список літератури pdf
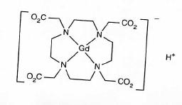
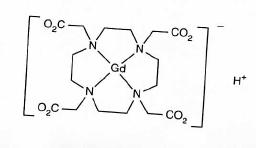
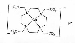
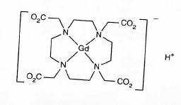
   Хімічна структура  

Торгова назва   Торгова назва     

Торгові назви є орієнтовними, а склад допоміжних речовин може бути різним залежно від країни та виробника

Artirem Нідерланди, Німеччина
Ciclolux Іспанія, Німеччина
Clariscan Ірландія, Іспанія, Австрія, Бельгія, Люксембург, Німеччина, Норвегія, Перу, Угорщина, Фінляндія, Чилі, Швейцарія, Швеція
Cyclolux Іспанія, Німеччина, Угорщина
Dotagita Німеччина, Румунія
Dotagraf Ірландія, Іспанія, Німеччина, Швейцарія
Dotarem Єгипет, Іран, Ірландія, Іспанія, Італія, Австрія, Австралія, Аргентина, Бельгія, Венесуела, Греція, Данія, Колумбія, Люксембург, Малайзія, Німеччина, Норвегія, Перу, Португалія, Румунія, Саудівська Аравія, Туніс, Туреччина, Угорщина, Фінляндія, Франція, Чилі, Швейцарія, Швеція
Сумісність   ін'єкція   Сумісність : Gadoterate meglumine              
7 / 5 000 Résultats de traduction Немає даних

  Mentions Légales