Posledná aktualizácia :
18/03/2026
kontrastná látka   Gadoterate meglumine  
Injekcia
Stabilita roztokov Stabilita v zmesiach Faktory ovplyvňujúce stabilitu Kompatibility spôsob podania Odkazy na literatúru PDF
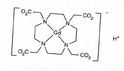
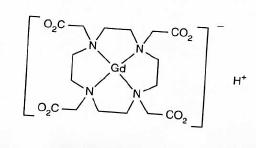
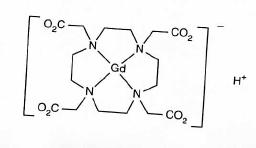
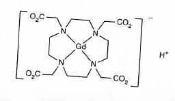
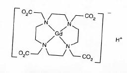
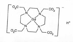
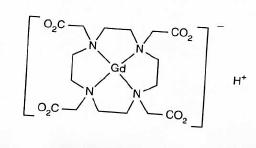
   Chemický vzorec  

Obchodný názov   Obchodný názov     

Obchodné názvy sú orientačné, a zloženie pomocných látok sa môže líšiť v závislosti od krajiny a výrobcu.

Artirem Holandsko, Nemecko
Ciclolux Nemecko, Španielsko
Clariscan Belgicko, Čile, Fínsko, Írsko, Luxembursko, Maďarsko, Nemecko, Nórsko, peru, Rakúsko, Španielsko, Švajčiarsko, Švédsko
Cyclolux Maďarsko, Nemecko, Španielsko
Dotagita Nemecko, Rumunsko
Dotagraf Írsko, Nemecko, Španielsko, Švajčiarsko
Dotarem Argentína, Austrália, Belgicko, Čile, Dánsko, Egypt, Fínsko, Francúzsko, Grécko, Irán, Írsko, Kolumbia, Luxembursko, Maďarsko, Malajzia, Nemecko, Nórsko, peru, Portugalsko, Rakúsko, Rumunsko, Saudská Arábia, Španielsko, Švajčiarsko, Švédsko, Taliansko, Tunisko, Turecko, Venezuela
Kompatibility   Injekcia   Kompatibility : Gadoterate meglumine              
žiadne údaje

  Mentions Légales