Ultimele actualizari :
27/11/2025
Antiepileptic   Fosphenytoin sodium  
Injectabil
Stabilitatea in solutie Stabilitatea in amestec Factorii care influenteaza stabilitatea Compatibilitate Microunde Bibliografie pdf
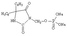
   Formula chimica  

Denumirea comerciala   Denumirea comerciala     

Trade names are indicative and excipients composition can be different depending on the country and manufacturers

Cerebryx Canada, SUA
Fosphen India
Fostoin Japonia
Pro - Epanutin Austria, Danemarca, Finlanda, Irlanda, Islanda, Luxemburg, Marea Britanie, Norvegia, Olanda, Suedia
Prodilantin Austria, Danemarca, Finlanda, Franta, Grecia, Irlanda, Islanda, Japonia, Olanda, Polonia, SUA, Ungaria
Sesquient SUA
Bibliografie   Injectabil   Bibliografie : Fosphenytoin sodium  
tip publicare
800 ziar Fischer JH, Cwik MJ, Luer MS, Sibley CB, Deyo KL.
Stability of fosphenytoin sodium with intravenous solutions in glass bottles, polyvinyl chloride bags, and polypropylene syringes.
Ann Pharmacotherapy 1997 ; 31: 553-559.
1412 ziar Brett A, Riggs RM, Webster AA, Benner KW.
Y-site stability of fosphenytoin and sodium phenobarbital.
Int J Pharm Compound 1999 ; 3: 64-66.
1419 ziar Riggs RM, English BA, Webster AA, McGuire JM, Riordan JM.
Fosphenytoin Y-site stability studies with lorazepam and midazolam hydrochloride.
Int J Pharm Compound 1999 ; 3: 235-238.
1803 ziar Trissel, LA, Saenz CA, Ogundele OB, Ingram D, Baker MB.
Compatibility of fenoldopam mesylate with other drugs during simulated Y-site administration.
Am J Health-Syst Pharm 2003 ; 60: 80-85.
3379 ziar Fox L.M, Wilder A.G, Foushee J.A.
Physical compatibility of various drugs with neonatal total parenteral nutrient solution during simulated Y-site administration.
Am J Health-Syst Pharm 2013 ;70:520-524.
3827 poster Ghazi I.M, Hamada Y, Nicolau D.P.
Compatibility of tedizolid phosphate with selected intravenous drugs via simulated Y-site conditions.
ASHP Midyear 2015
3829 poster So W, Kim L, Thabit A.K, Nicolau D.P, Kuti J.L.
Compatibility of isavunazonium sulfate during simulated Y-site administration.
ASHP Midyear 2015
3967 ziar Staven V, Herra I, Wang S, Grönlie I,Tho I.
Physical compatibility of total parenteral nutrition and drugs in Y-site administration to children from neonates to adolescents.
J Pharm Pharmacol 2017 ;69,7:448-462
4145 ziar Asempa T.E, Avery L.M, Kidd J.M, Kuti J.L, Nicolau D.P.
Physical compatibility of plazomicin with select i.v. drugs during simulated Y-site administration.
Am J Health-Syst Pharm 2018 ;75,14:1048-1056
4370 ziar Staven V, Wang S, Gronlie I, Tho I.
Physical stability of an all-in one parenteral nutrition admixture for preterm infants upon mixing with micronutrients and drugs
EJHP 2018 2018;0:1-7
4428 ziar Rashed S.M, Sweatman T.W, Thoma L, Hovinga C.A, Phelps S.J.
Chemical Compatibility of Depacon® with Medications Frequently Administered by Intravenous Y-Site Delivery in Patients with Epilepsy or Head Trauma.
J Pediatr Pharmacol Ther 2004 ; 9, 2: 126-132.
4433 ziar Ghazi I.M, El Nekidy W.S, Sood A, Dulku A, Patel R, Patel K.
Y-site Administration of Imipenem/Cilastatin/ Relebactam With Common Intravenous Medications
Clin Ther 2020 ; 42, 3: 475-485.
4569 ziar Lee T.M , Villareal C.L, Meyer L.M.
Y-Site Compatibility of Intravenous Levetiracetam With Commonly Used Critical Care Medications.
Hosp Pharm 2021 ; 56, 4: 282-286.
4801 ziar Ruiz V, Yuwei Shen Y, Abouelhassan Y, Fouad A, Nicolau D, Kuti J.
Physical compatibility of sulbactam/durlobactam with select intravenous drugs during simulated Y-site administration.
Am J Health-Syst Pharm 2024 ;51,1:
5074 Laborator FOSPHENYTOINE ARROW 75 mg/mL, solution à diluer pour solution injectable/pour perfusion - Résumé des caractéristiques du produit.
EUGIA PHARMA (MALTA) LTD 2022

  Mentions Légales