Senaste uppdateringen :
31/03/2026
Antibiotikum   Spiramycine adipate  
injektion
Lösningars stabilitet Stabilitet i blandningar Faktorer som påverkar stabiliteten Kompatibilitet Administreringssätt Hänvisningar pdf
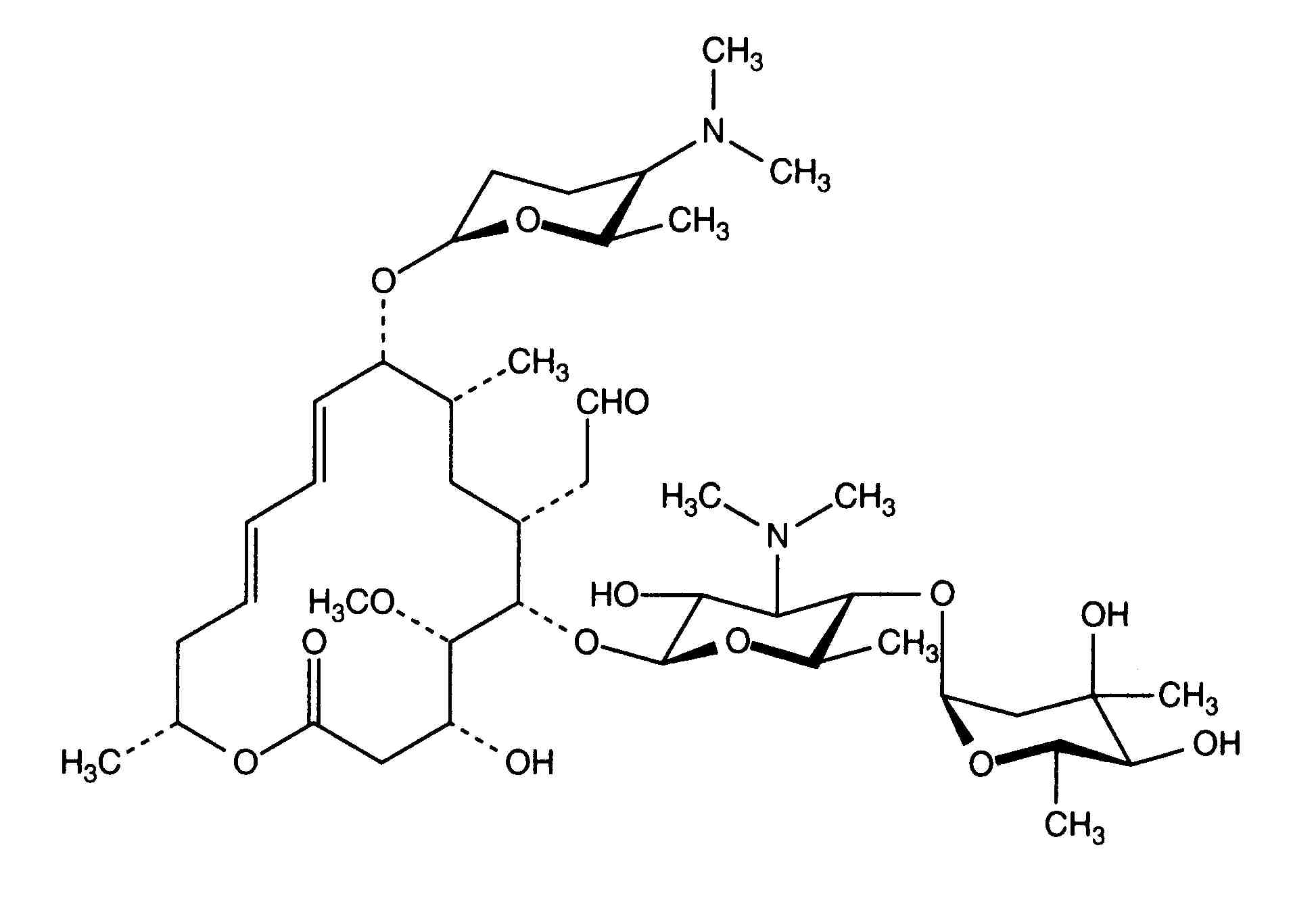
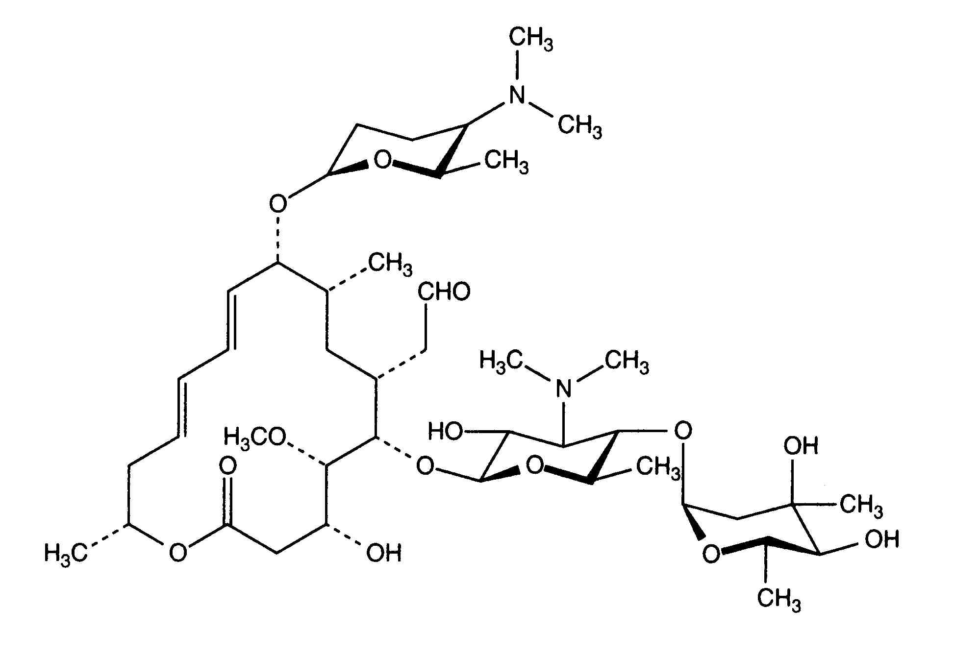
   Molekylstruktur  

Varunamn   Varunamn     

Angivna handelsnamn på läkemedel är enbart vägledande då formulering inklusive hjälpämnen kan variera mellan länder och tillverkare

Rovamycine Frankrike, Polen
Hänvisningar   injektion   Hänvisningar : Spiramycine adipate  
Typ Publikation
3563 Laboratorium Spiramycine adipate (Rovamycine®) - Résumé des caractéristiques du produit
Sanofi Aventis France 2013
4254 tidningen D'Huart E, Vigneron J, Demoré B.
Physical Compatibility of Intravenous Drugs Commonly Used in Intensive Care Units: An Observational Study and Physical Compatibility Laboratory Tests on Anti-Infective Drugs
Pharmaceutical Technology in Hospital Pharmacy 2019 ;4,1:29-40
4698 tidningen Ayari G, D'Huart E, Vigneron J, Demoré B.
Y-site compatibility of intravenous medications commonly used in intensive care units : laboratory tests on 75 mixtures involving nine main drugs.
Pharmaceutical Technology in Hospital Pharmacy 2022 ; 7(1): 20220002

  Mentions Légales