Cập nhật lần cuối :
18/03/2026
Infostab
Danh sách các chất
Danh sách tóm tắt
Tìm kiếm khả năng tương thích
Bảng tương thích Y-site
Tài liệu tham khảo
đội nghiên cứu
valistab
Poster
kết nối
nhà tài trợ
Các tác giả
Hướng dẫn dành cho người dùng
Bản tin cập nhật
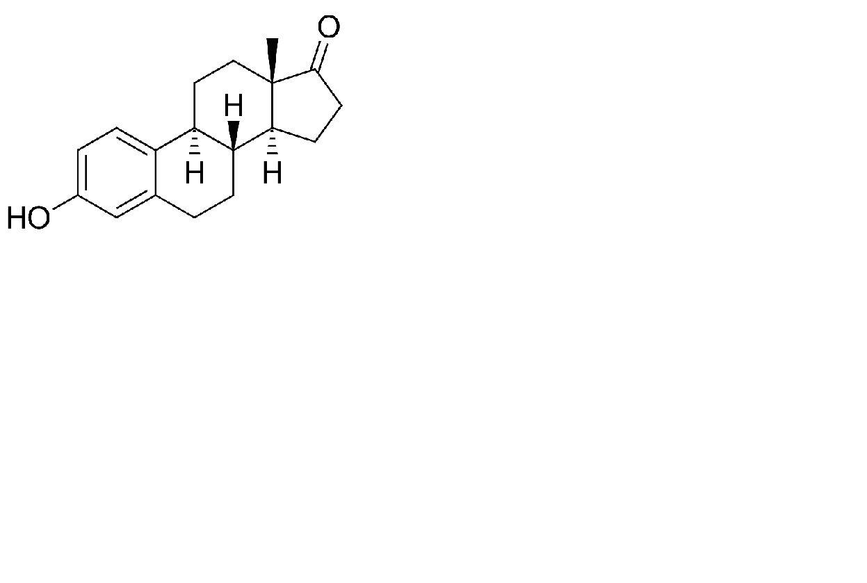
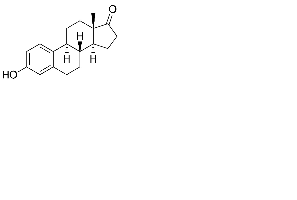
Estrone
Cấu trúc hóa học
Tài liệu tham khảo : Estrone
Loại
Nguồn
4577
Tạp chí
Wynn T, Taylor S, Zander C.
Stability of Fagron's Phytobase Cream Compounded with Various Hormones.
Int J Pharm Compound 2021 ;25,2:156-162
4598
Tạp chí
Polonini H, Dijkers E, Ferreira A, Zander C, Taylor S.
Compatibility of Estradiol, Estriol; Estrone, Progesterone, and Testosterone Single Formulation in Fitalite, Versatile, or HRT Supreme Cream Base.
Int J Pharm Compound 2021 ;78,4:336-349
Mentions Légales