آخر تحديث :
27/11/2025
Infostab
قائمة المركبات
ملخص القوائم
ابحث عن التوافق
جدول توافق موقع ص
مراجع
فرق البحث
valistab
الملصق
الروابط
الرعاة
الكتاب
دليل المستخدم
النشرة الإخبارية
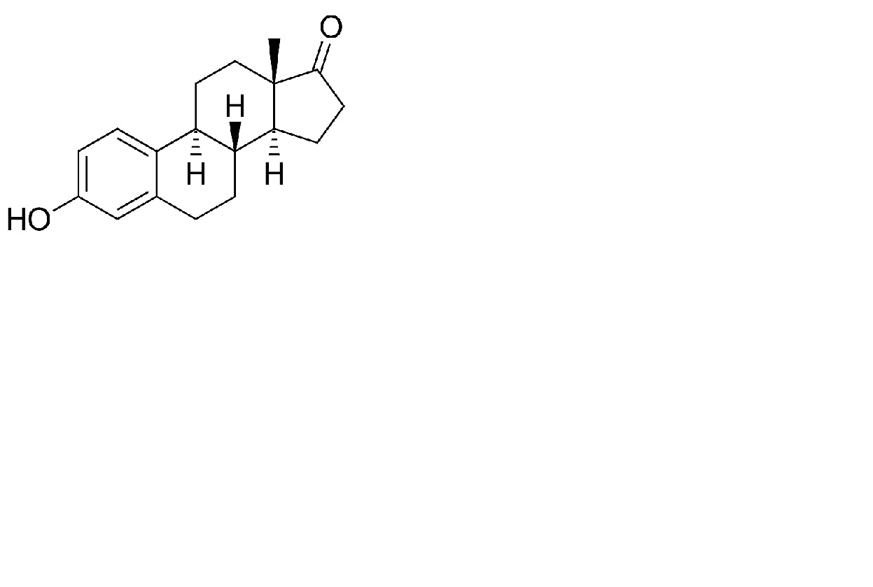
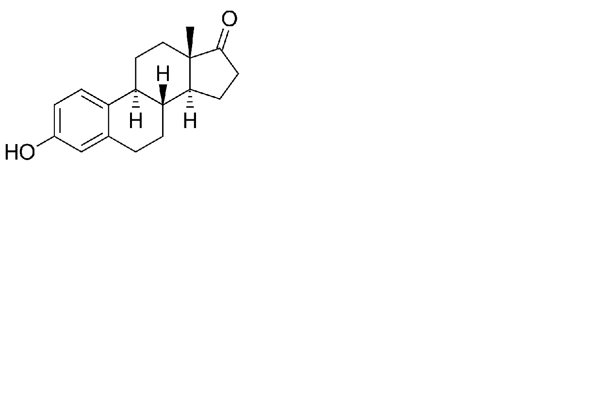
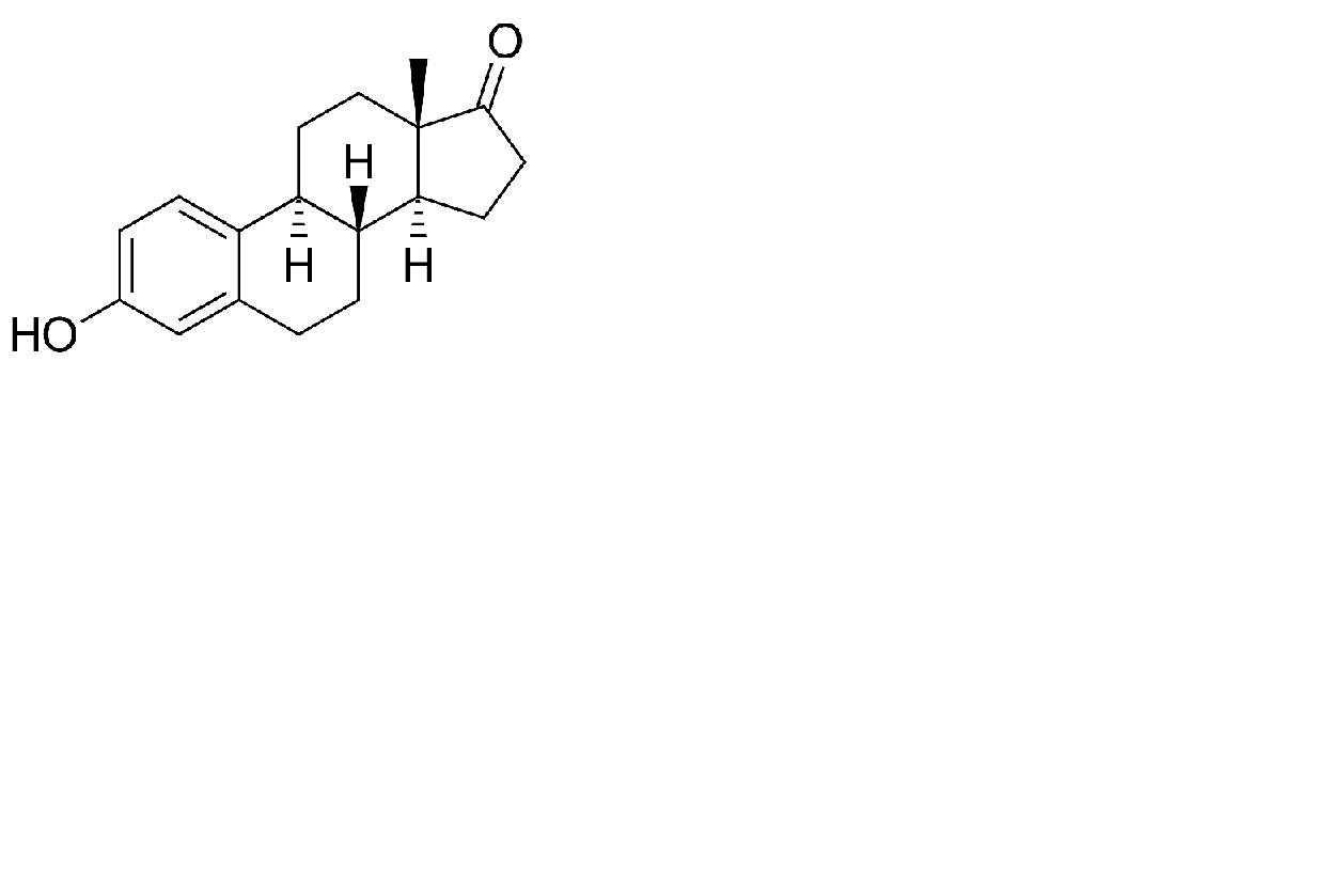
Estrone
التركيب الكيميائي
مراجع : Estrone
نوع
منشور
4577
مجلة
Wynn T, Taylor S, Zander C.
Stability of Fagron's Phytobase Cream Compounded with Various Hormones.
Int J Pharm Compound 2021 ;25,2:156-162
4598
مجلة
Polonini H, Dijkers E, Ferreira A, Zander C, Taylor S.
Compatibility of Estradiol, Estriol; Estrone, Progesterone, and Testosterone Single Formulation in Fitalite, Versatile, or HRT Supreme Cream Base.
Int J Pharm Compound 2021 ;78,4:336-349
Mentions Légales