Останнє оновлення :
31/03/2026
Судинорозширювальний засіб   Minoxidil  
Розчин для перорального застосування
Мазі
Стабільність фармацевтичних препаратів Стійкість сумішей Фактори, що впливають на стабільність Сумісність Список літератури pdf
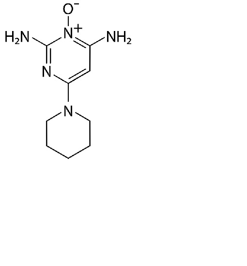
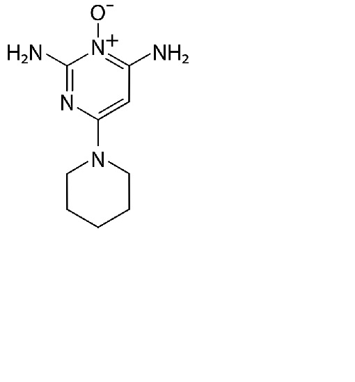
   Хімічна структура  

Розчин для перорального застосування
Стабільність фармацевтичних препаратів   Розчин для перорального застосування   Стабільність фармацевтичних препаратів : Minoxidil     
Контейнер Origine допоміжна речовина температура Зберігання Тривалість стабільності Список літератури
скло таблетки 300 mg
Loniten®
OraPlus® / OraSweet SF® (1:1) >> 300 mL
2-6°C Берегти від світла
168 День
4075

скло таблетки 300 mg
Loniten®
OraPlus® / OraSweet SF® (1:1) >> 300 mL
23-25°C Берегти від світла
21 День
4075


  Mentions Légales