Ultimele actualizari :
31/03/2026
Vasodilatator   Minoxidil  
Soluţie orală
Unguente
Stabilitatea preparatelor farmaceutice Stabilitatea in amestec Factorii care influenteaza stabilitatea Compatibilitate Bibliografie pdf
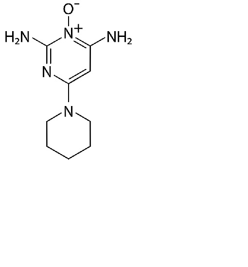
   Formula chimica  

Soluţie orală
Stabilitatea preparatelor farmaceutice   Soluţie orală   Stabilitatea preparatelor farmaceutice : Minoxidil     
Continut Origine Excipient Temperatura Conservare Durata stabilității Bibiografie
sticla Comprimate 300 mg
Loniten®
OraPlus® / OraSweet SF® (1:1) >> 300 mL
2-6°C Ferit de lumina
168 Ziua
4075

sticla Comprimate 300 mg
Loniten®
OraPlus® / OraSweet SF® (1:1) >> 300 mL
23-25°C Ferit de lumina
21 Ziua
4075


  Mentions Légales