Ultimo aggiornamento :
18/03/2026
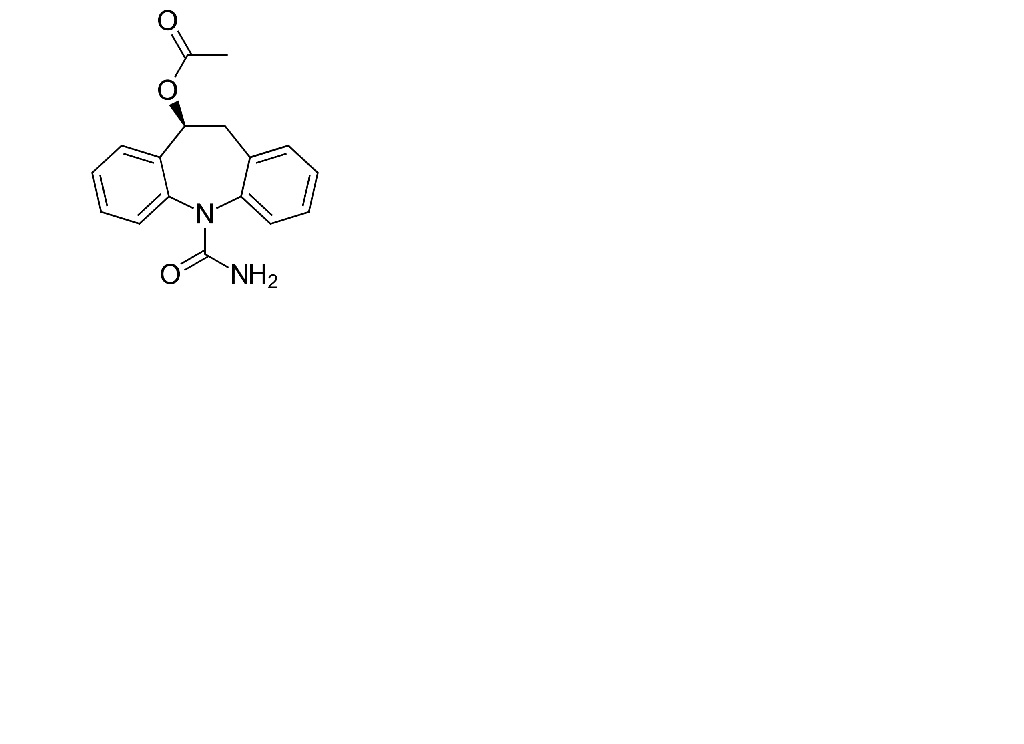
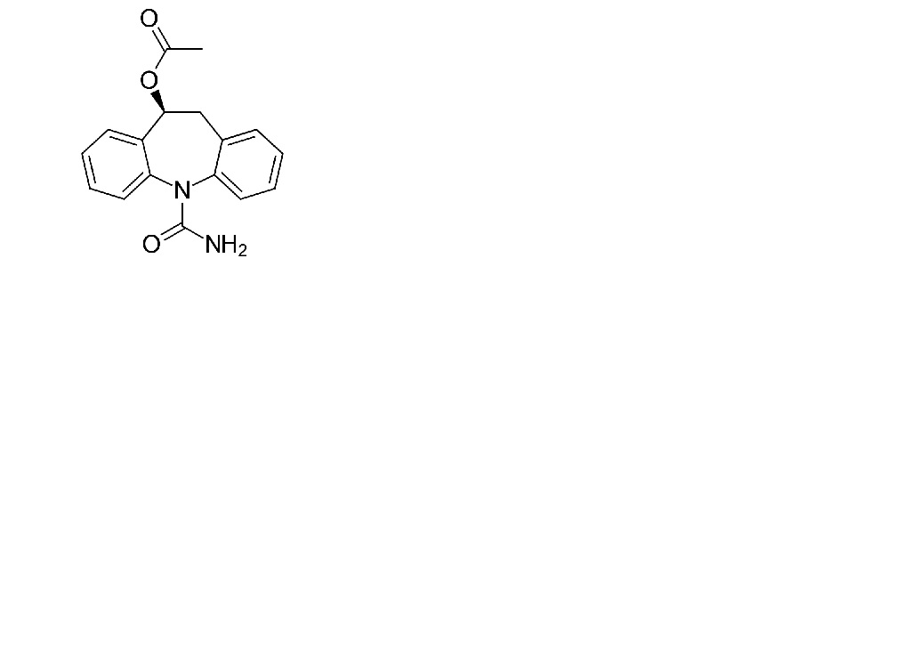
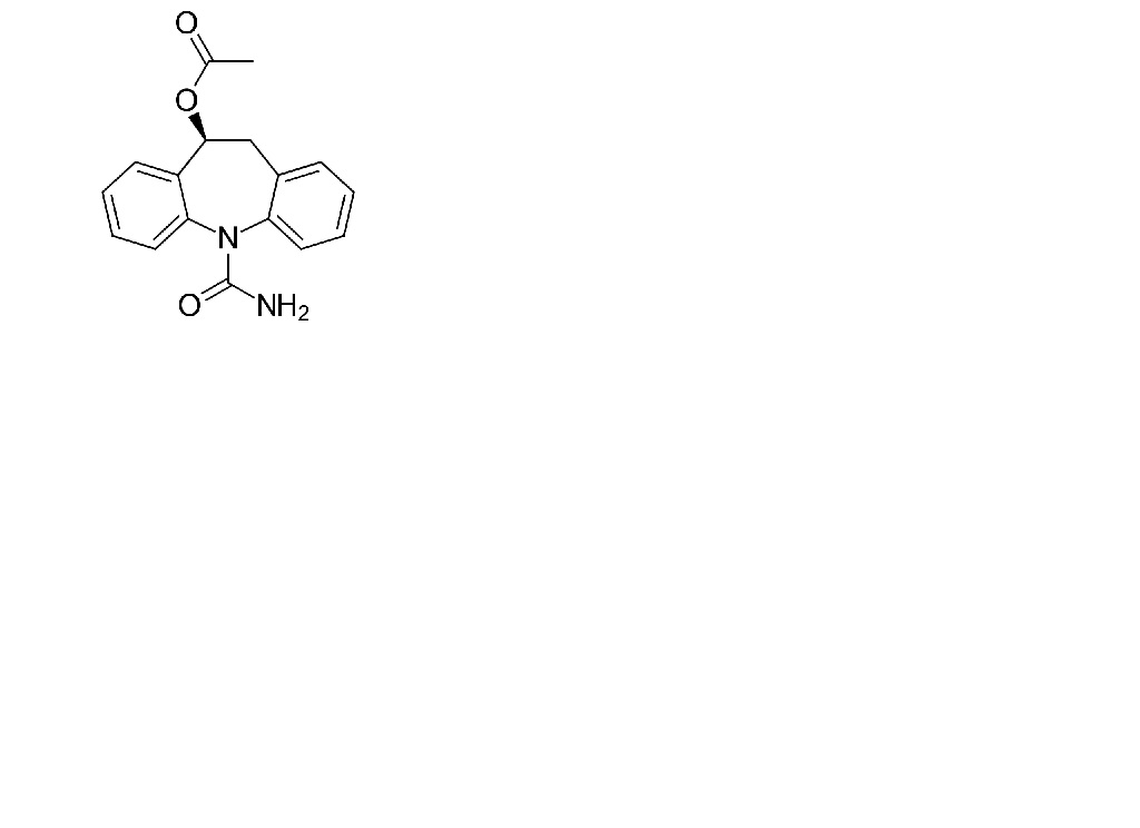
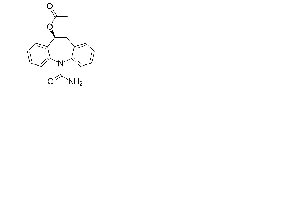
Antiepilettico   Eslicarbazepine acetate  
Soluzione orale
Stabilità dei preparati farmaceutici Stabilità in miscela Fattori che influenzano la stabilità Compatibilità Bibliografia pdf
   Struttura chimica  

Soluzione orale

Fattori che influenzano la stabilità   Soluzione orale   Fattori che influenzano la stabilità : Eslicarbazepine acetate        
Assenza di dati

  Mentions Légales