Seneste opdatering :
18/03/2026
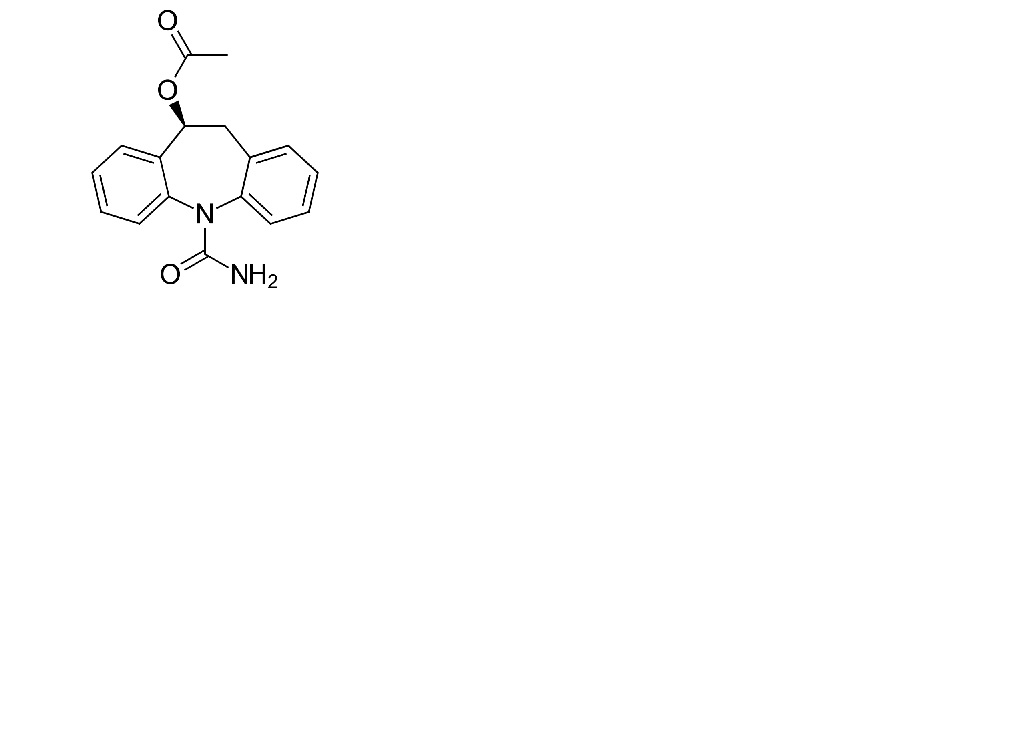
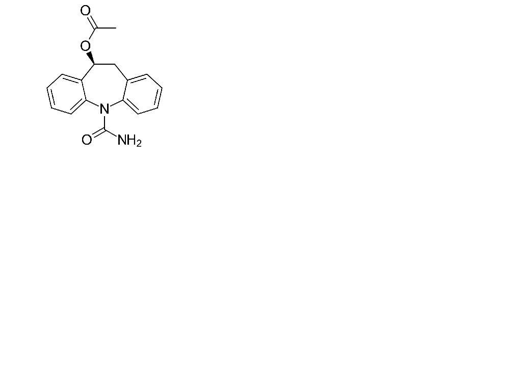
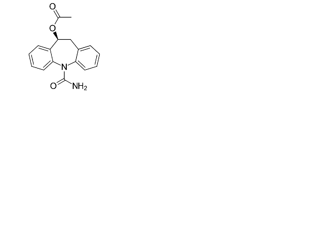
Antiepileptisk   Eslicarbazepine acetate  
Oral opløsning
Stabilitet af farmaceutiske tilberedninger Stabilitet i blandinger Faktorer der påvirker stabiliteten Kompatibilitet Bibliografi pdf
   Kemisk struktur  

Oral opløsning

Faktorer der påvirker stabiliteten   Oral opløsning   Faktorer der påvirker stabiliteten : Eslicarbazepine acetate        
Ingen data

  Mentions Légales