Последно актуализиране :
18/03/2026
Антибиотик   Colistin sulfate  
Орален разтвор
Стабилност на лекарствени препарати Стабилност на смеси Фактори, повлияващи стабилността Съвместимост Библиография Pdf
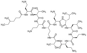
   Химична структура  

Орален разтвор

Фактори, повлияващи стабилността   Орален разтвор   Фактори, повлияващи стабилността : Colistin sulfate        
Няма данни

  Mentions Légales