Letztes “update” :
27/11/2025
Antiepileptikum   Topiramate  
Lösung zum Einnehmen
Stabilität von pharmazeutischen Präparaten Gemengestabilität Stabilitätbeeinflussende Faktoren Kompatibilitäten Literaturverzeichnis pdf
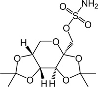
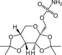
   Chemische Struktur  

Lösung zum Einnehmen
Literaturverzeichnis   Lösung zum Einnehmen   Literaturverzeichnis : Topiramate  
Typ Veröffentlichung
3999 Zeitung De Oliveira Ferreira, Polonini H, Loures da Silva S, Buzinari Aglio N.C, Abreu J, Fernandes Brand?o M.A.
Stability of Acetazolamide, Baclofen, Dipyridamole, Mebeverine Hydrochloride, Propylthiouracil, Quinidine Sulfate, and Topiramate Oral Suspensions in SyrSpend SF PH4.
Int J Pharm Compound 2017 ; 21:4 :339-346

  Mentions Légales