最新更新 :
23/03/2026
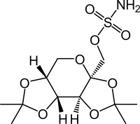
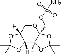
抗癫痫药   Topiramate  
口服剂
制剂的稳定性 混合物稳定性 影响稳定性的因素 兼容性 引用文献 PDF
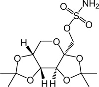
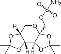
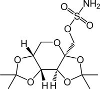
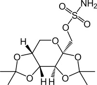
   化学式  

口服剂
引用文献   口服剂   引用文献 : Topiramate  
种类 出版物
3999 文献 De Oliveira Ferreira, Polonini H, Loures da Silva S, Buzinari Aglio N.C, Abreu J, Fernandes Brand?o M.A.
Stability of Acetazolamide, Baclofen, Dipyridamole, Mebeverine Hydrochloride, Propylthiouracil, Quinidine Sulfate, and Topiramate Oral Suspensions in SyrSpend SF PH4.
Int J Pharm Compound 2017 ; 21:4 :339-346

  Mentions Légales