Последно актуализиране :
27/11/2025
Витамин   Cyanocobalamine  
Инжекция/Инжекционен
Стабилност на разтвори Стабилност на смеси Фактори, повлияващи стабилността Съвместимост Път на въвеждане Библиография Pdf
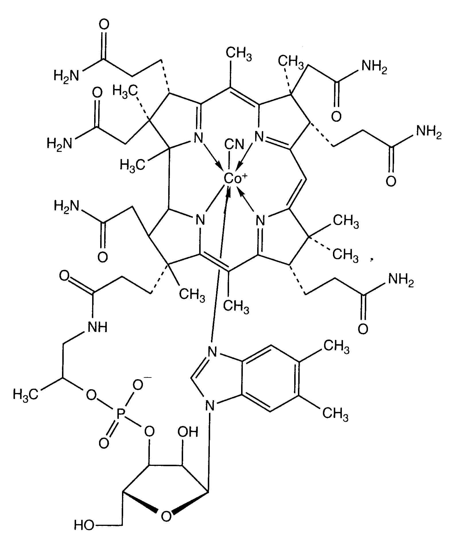
   Химична структура  

Търговско наименование   Търговско наименование     

Търговските имена са примерни и съставът на помощните вещества може да бъде различен в зависимост от държавата и лабораториите

Ambe 12 Германия
Ambene B Германия
B12 Ankermann Германия
B12 Asmedic Германия
B12 for injection Германия, Канада
B12 Vicotrat Германия
Beto 12 Египет
Betolvex Дания, Египет, Норвегия, Обединени арабски емирства, Саудитска Арабия, Финландия, Швейцария, Швеция
Bitavion Иран
Cianocobalamina Венецуела, Еквадор, Колумбия, Чили
Cidulvex Египет
Citon Индия
Cobal Малайзия
Cobex Канада
Cozamon Венецуела
Cromatonbic B12 Испания
Cyanocobalamin Египет, Малайзия, нова Зеландия, Съединени Американски щати / САЩ
Cyanocobalamine Малайзия, Франция
Cyanvit Иран
Cynovit Обединени арабски емирства, Саудитска Арабия
Cytamen Австралия, Великобритания, Ирландия
Cytobion Германия, Саудитска Арабия
Dobetin Италия
Dodex Турция
Droxofor Венецуела
Duradoce Мексико
Emicobal Египет
Hamo Vilobex Германия
Hidro Doce 5000 Венецуела
Ibedox Венецуела
L Vit 12 Индия
Lifaton B12 Испания
Lophakomp B12 Германия
Optovite B12 Испания
Osve Vitamin B12 Иран
Permadoze Португалия
Reedvit Аржентина
Reiculoger Еквадор, Испания
Rowo Vitamin B12 Германия
Rubivamin Египет, Съединени Американски щати / САЩ
Vibalmin Иран
Vicapan Германия
Viplex B12 Турция
Vitakobal Турция
Vitamina B12 Австрия, Белгия, Венецуела, Германия, Еквадор, Иран, Канада, Колумбия, Малайзия, Мароко, Норвегия, Обединени арабски емирства, Румъния, Тунис, Швейцария
Vitaminum B12 Полша
Vitarubine Швейцария
Път на въвеждане   Път на въвеждане :Cyanocobalamine     
Voie
Подкожна

  Mentions Légales