Pēdējā atjaunošana :
27/11/2025
Vitamīns   Cyanocobalamine  
Injekcija
Šķīduma stabilitāte Maisījuma stabilitāte Stabilitāti ietekmējoši faktori Saderība Levadīšanas veids Literatūras saraksts pdf
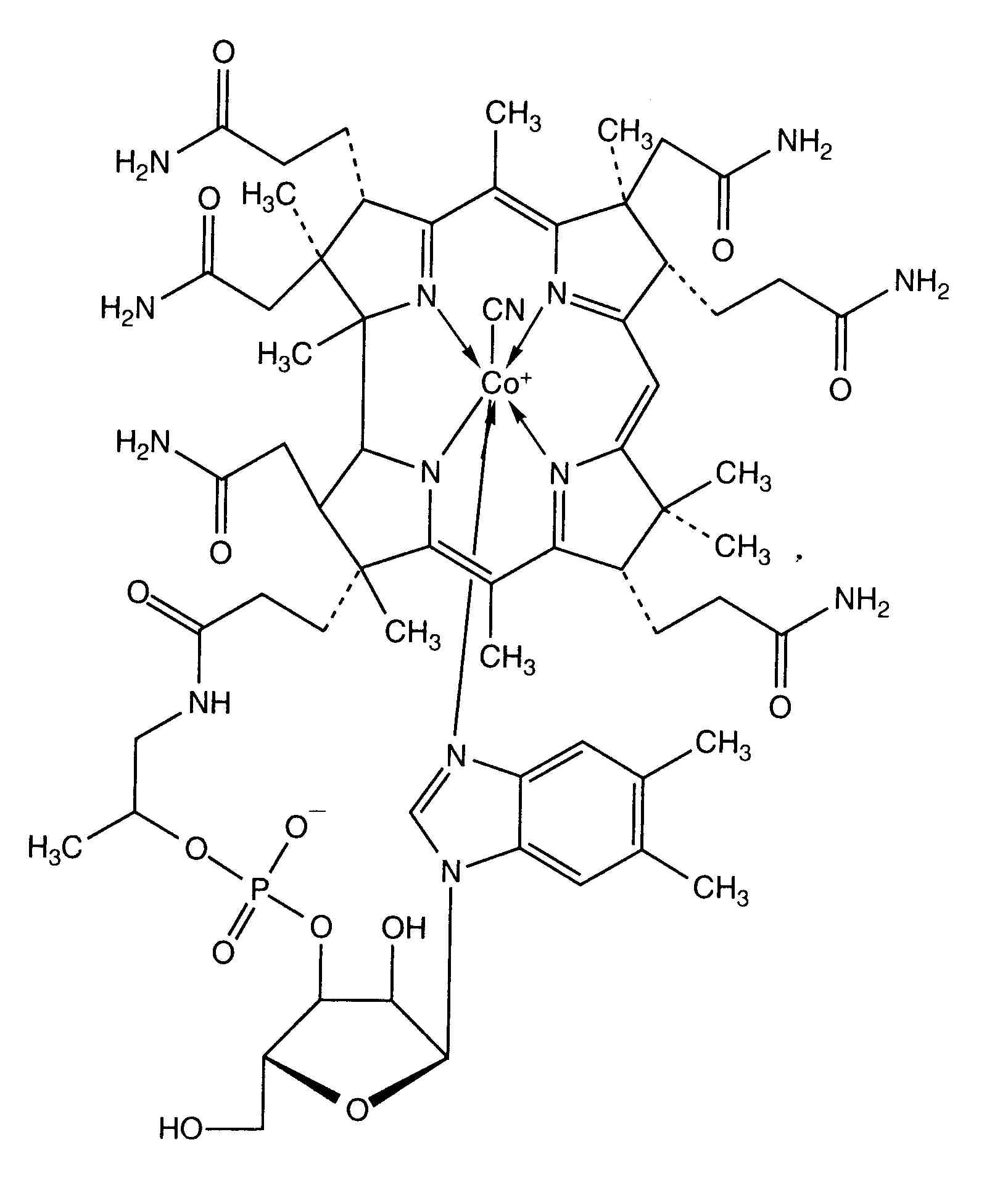
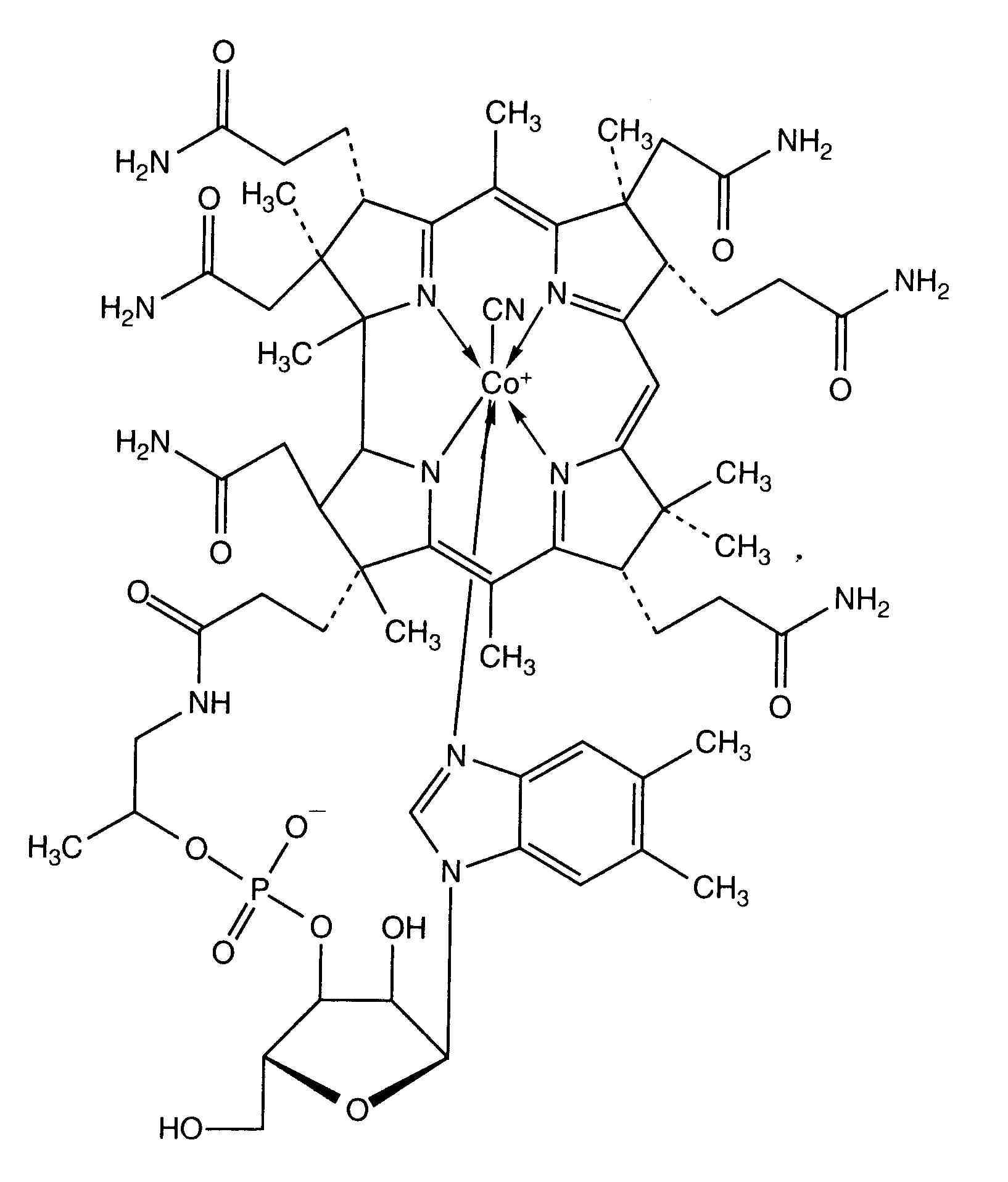
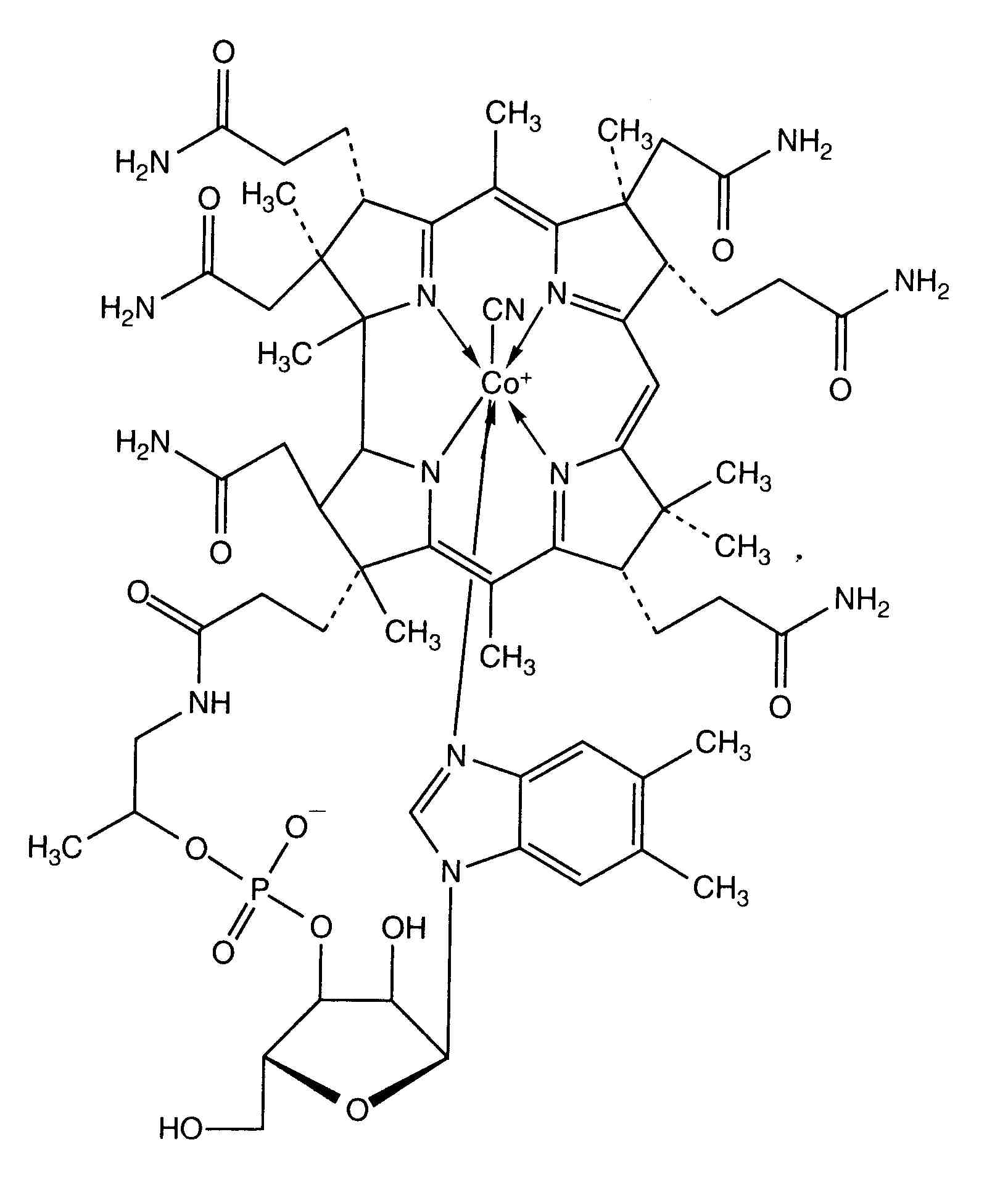
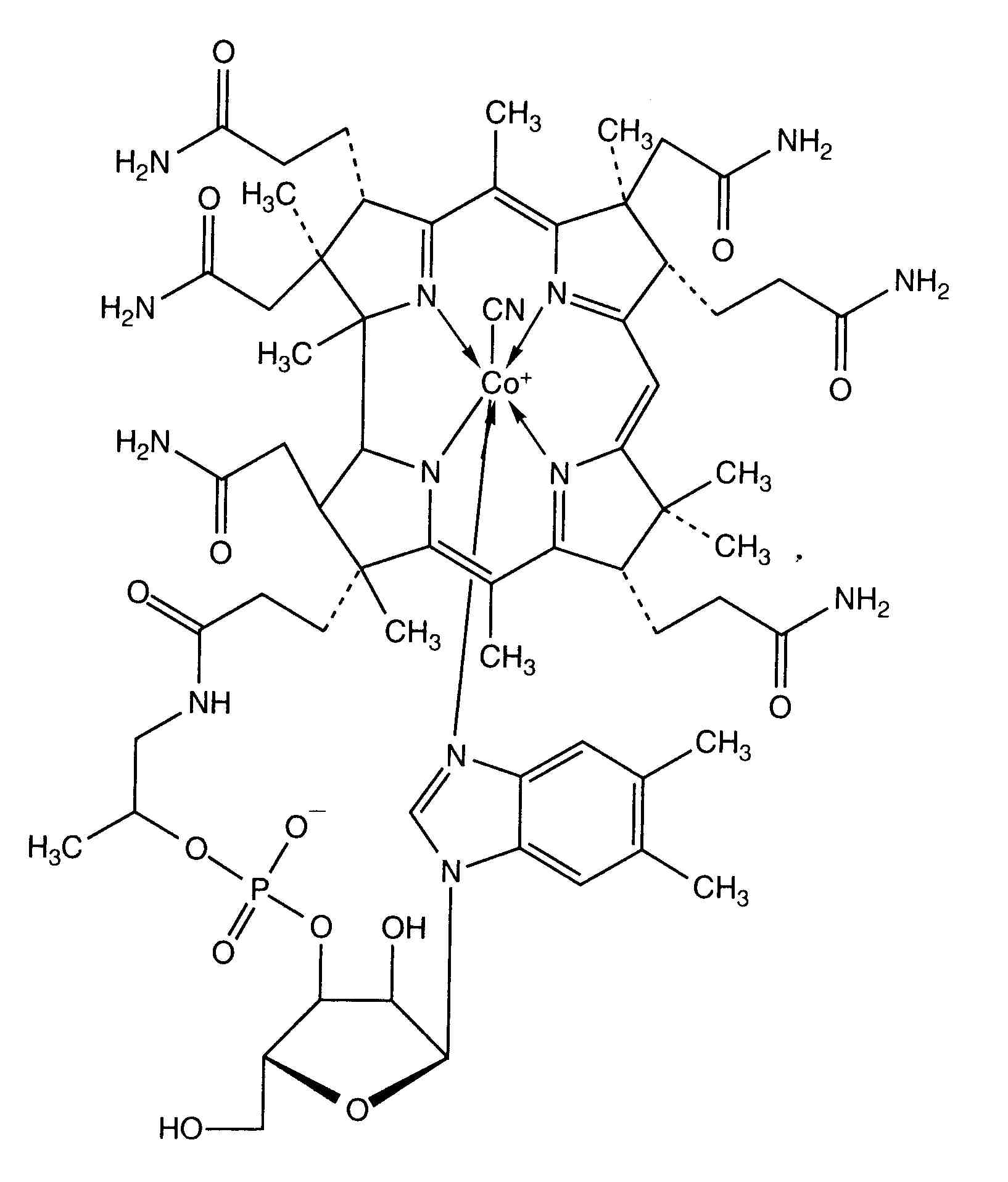
   Ķīmiskā uzbūve   

Oriģinālais nosaukums   Oriģinālais nosaukums     

Tirdzniecības nosaukumi ir apzīmējoši un palīgvielas var atšķirties dažādām valstīm un laboratorijām

Ambe 12 Vācija
Ambene B Vācija
B12 Ankermann Vācija
B12 Asmedic Vācija
B12 for injection Kanāda, Vācija
B12 Vicotrat Vācija
Beto 12 Ēģipte
Betolvex Apvienotie Arābu Emirāti, Dānija, Ēģipte, Norvēģija, Saūda Arābija, Somija, Šveice, Zviedrija
Bitavion Irāna
Cianocobalamina Čīle, Ekvadora, Kolumbija, Venecuēla
Cidulvex Ēģipte
Citon Indija
Cobal Malaizija
Cobex Kanāda
Cozamon Venecuēla
Cromatonbic B12 Spānija
Cyanocobalamin Amerikas Savienotās Valstis, Ēģipte, Jaunzēlande, Malaizija
Cyanocobalamine Francija, Malaizija
Cyanvit Irāna
Cynovit Apvienotie Arābu Emirāti, Saūda Arābija
Cytamen Austrālija, Īrija, Lielbritānija
Cytobion Saūda Arābija, Vācija
Dobetin Itālija
Dodex Turcija
Droxofor Venecuēla
Duradoce Meksika
Emicobal Ēģipte
Hamo Vilobex Vācija
Hidro Doce 5000 Venecuēla
Ibedox Venecuēla
L Vit 12 Indija
Lifaton B12 Spānija
Lophakomp B12 Vācija
Optovite B12 Spānija
Osve Vitamin B12 Irāna
Permadoze Portugāle
Reedvit Argentīna
Reiculoger Ekvadora, Spānija
Rowo Vitamin B12 Vācija
Rubivamin Amerikas Savienotās Valstis, Ēģipte
Vibalmin Irāna
Vicapan Vācija
Viplex B12 Turcija
Vitakobal Turcija
Vitamina B12 Apvienotie Arābu Emirāti, Austrija, Beļģija, Ekvadora, Irāna, Kanāda, Kolumbija, Malaizija, Maroka, Norvēģija, Rumānija, Šveice, Tunisija, Vācija, Venecuēla
Vitaminum B12 Polija
Vitarubine Šveice
Saderība   Injekcija   Saderība : Cyanocobalamine              
Šī tabula parāda zāļu saderību vai nesaderību, pēc iespējas arī nesaderības tipu (precipitācija, krāsas maiņa, emulsijas sadalīšanās utt). Parādītas šeit saderības ir pārsvarā tikai fizikālās, pēc iespējas tiek parādīta ķīmiskā stabilitāte katrai molekulai. Šo maisījumu analīze tikai veikta, lai izprastu iespējamību ievadīt zāles Y-savienojuma vietā sistēmā pacientam. Šie dati nevar tikt izmantoti, lai pagatavot zāļu maisījumus vēlākai lietošanai maisos vai šļircēs. Šī informācija ir pieejama sadaļā "Maisījuma stabilitāte".
Savienojums Šķīdinātājs Literatūras saraksts

  Mentions Légales