最新更新 :
18/03/2026
抗真菌薬   Nystatin  
含嗽薬
調剤時の安定性 混合時の安定性 安定性に影響する因子 互換性 引用文献 PDF
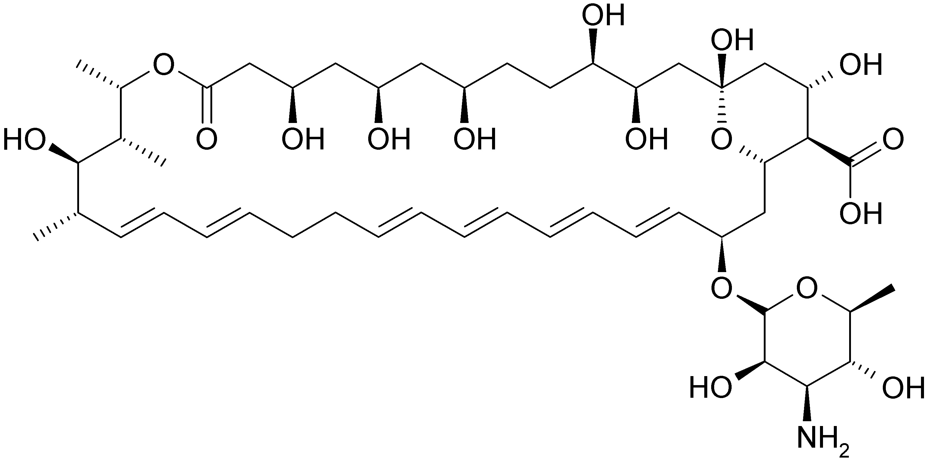
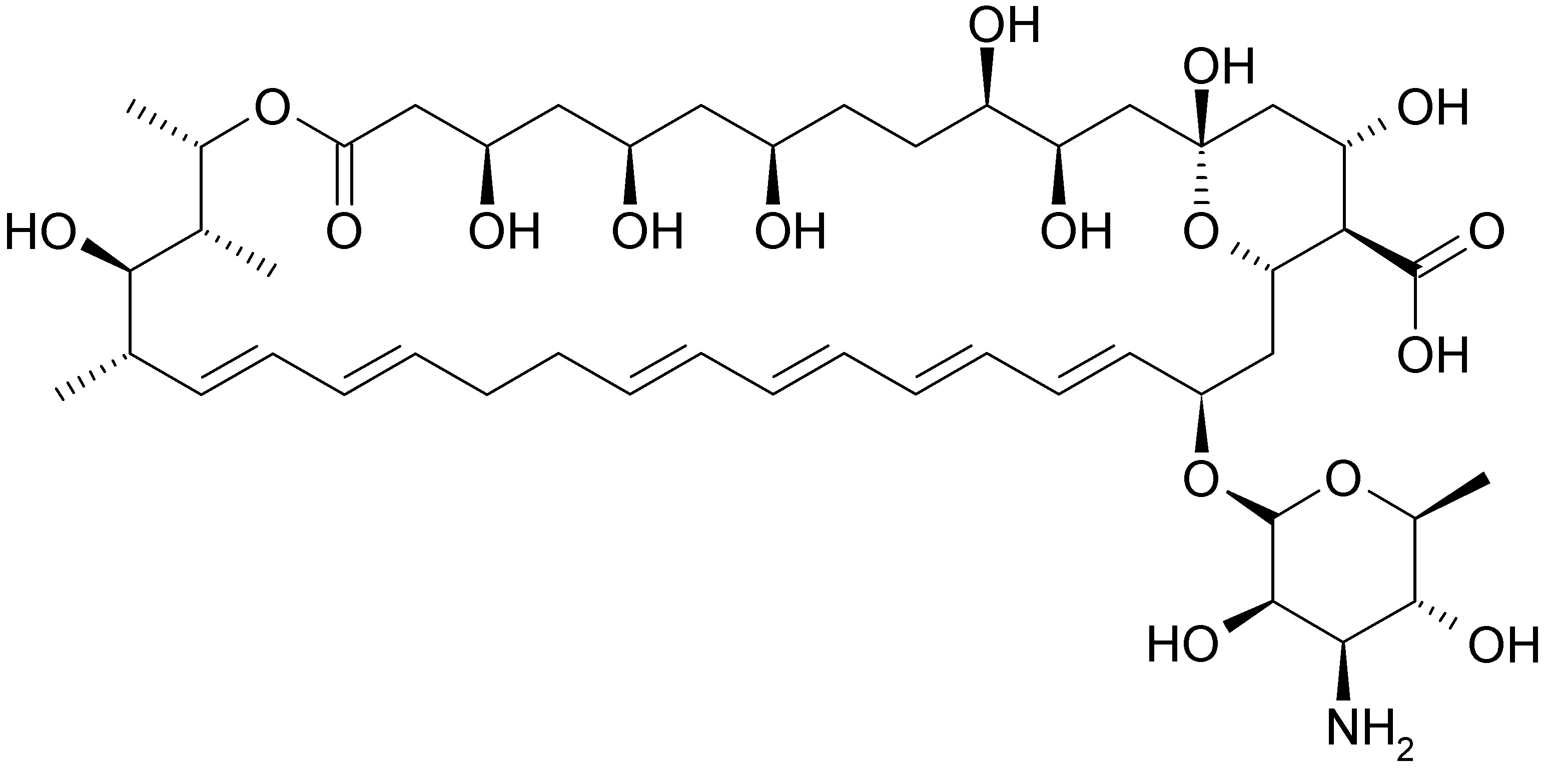
   化学構造  

含嗽薬
調剤時の安定性   含嗽薬   調剤時の安定性 : Nystatin     
容器 Origine 添加剤 温度 保管 安定期間 引用文献
ガラス 粉 2.29 MUI
Mycostatine®
重炭酸ナトリウム 1.4% >> 500 ml
19-23°C 遮光
4 日
2820

ポリプロピレン 粉 2.29 MUI
Mycostatine®
重炭酸ナトリウム 1.4% >> 500 ml
19-23°C 遮光
4 日
2820

ポリプロピレン 粉 2.29 MUI
Mycostatine®
重炭酸ナトリウム 1.4% >> 500 ml
4°C 遮光
15 日
2820

指定なし 液体 2.4 MUI = 24 ml
Mycostatine®
ヘキセチジン0.1パーセント 75 ml
重炭酸ナトリウム 1.4% >>400 ml
20-25°C 遮光
3 日
2729


  Mentions Légales