 |
|
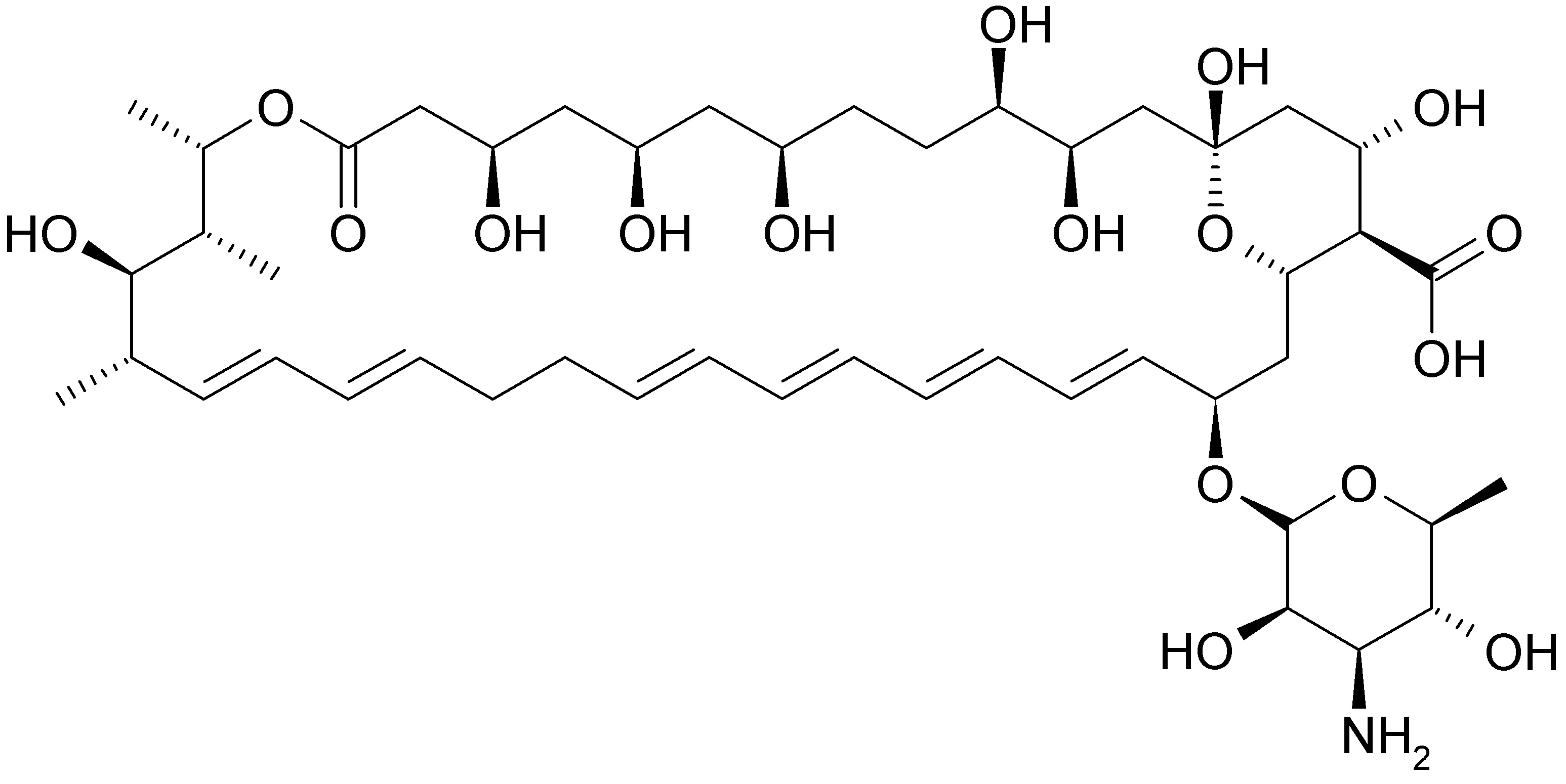
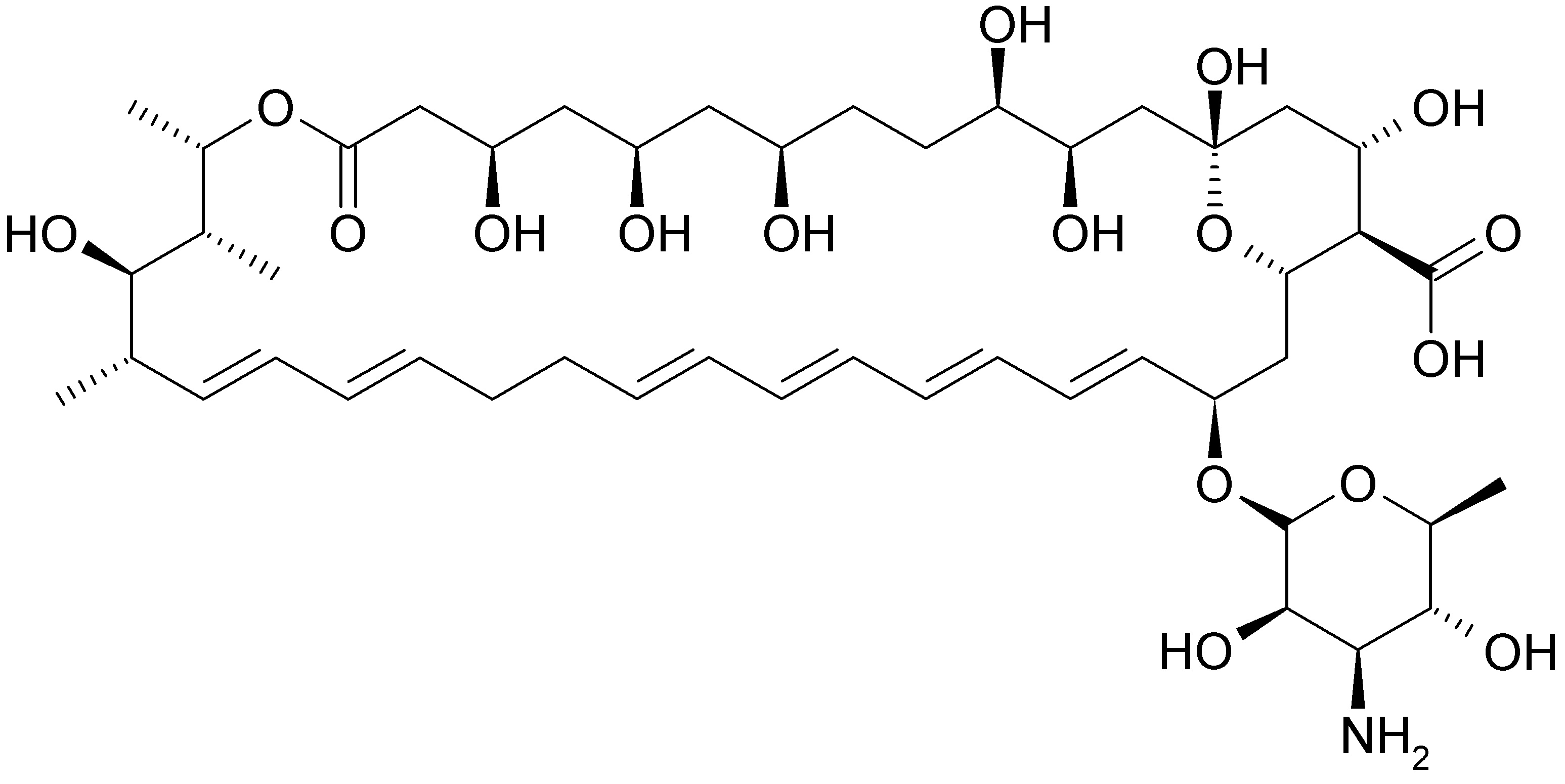
2.29 MUI
Mycostatine® |
| wodorowęglan sodu |
1.4% >> 500 ml |
|
19-23°C |
 |
| 4 |
 |
|
2820
|
|
 |
|
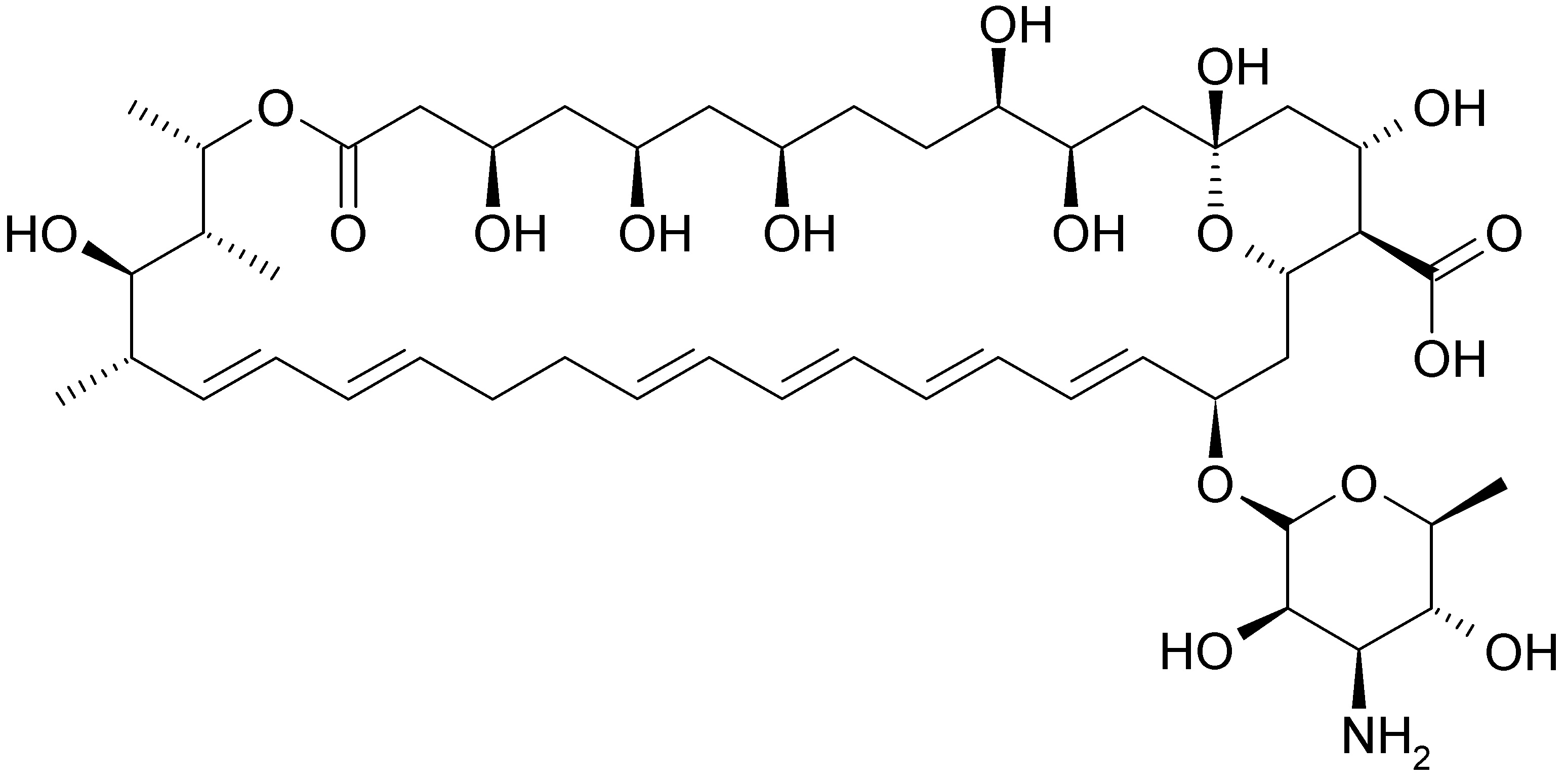
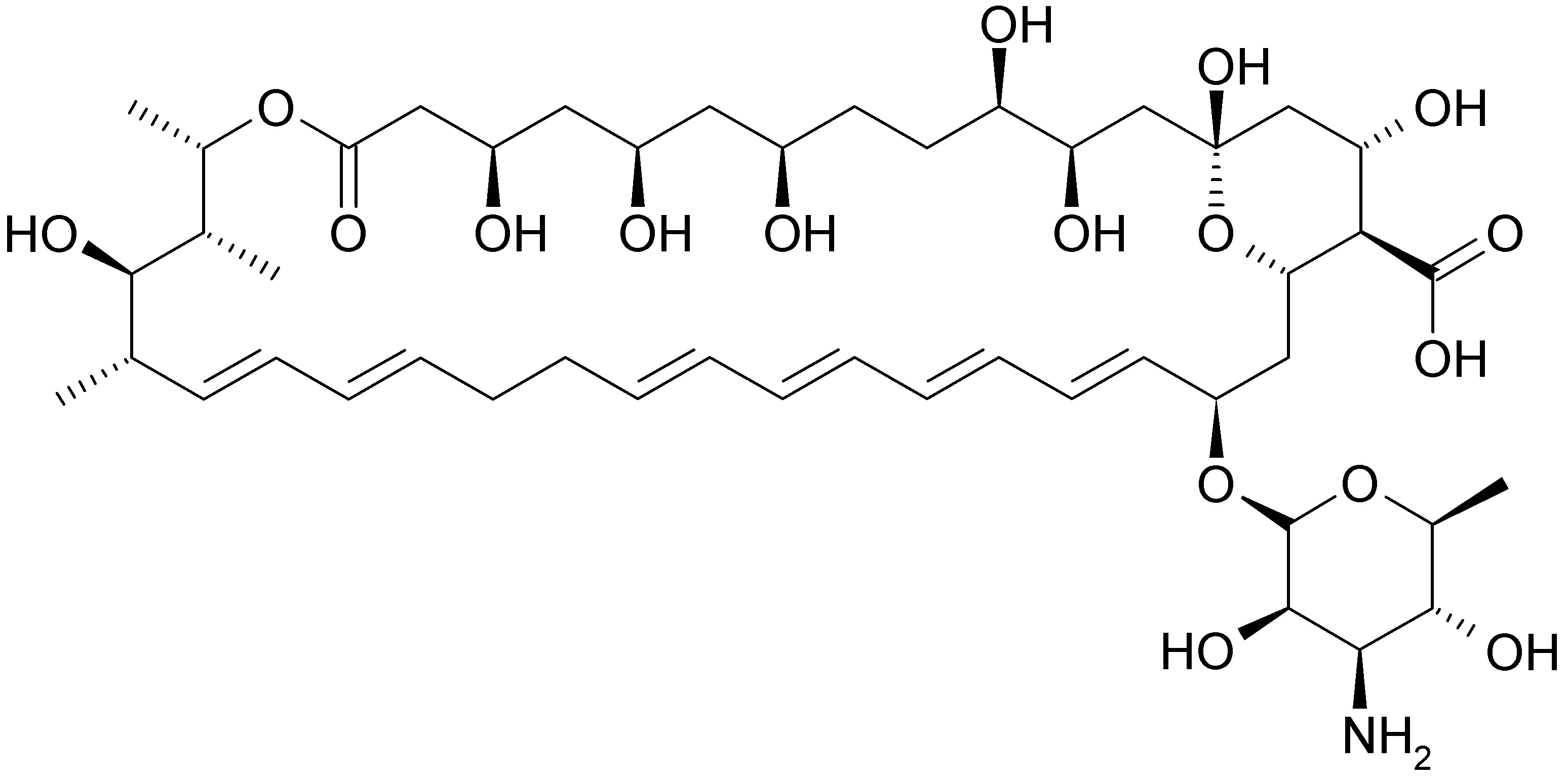
2.29 MUI
Mycostatine® |
| wodorowęglan sodu |
1.4% >> 500 ml |
|
19-23°C |
 |
| 4 |
 |
|
2820
|
|
 |
|
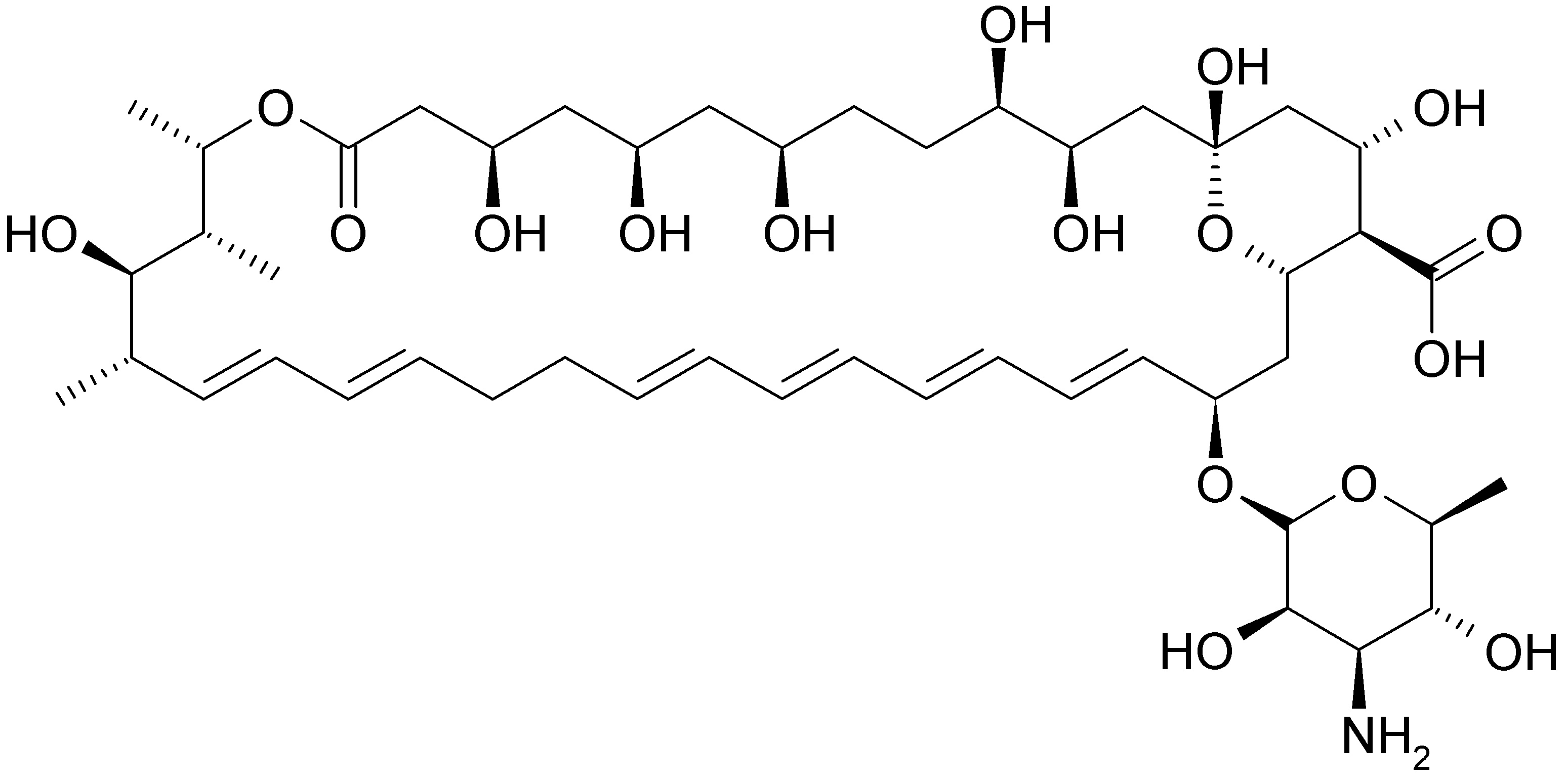
2.29 MUI
Mycostatine® |
| wodorowęglan sodu |
1.4% >> 500 ml |
|
4°C |
 |
| 15 |
 |
|
2820
|
|
 |
|
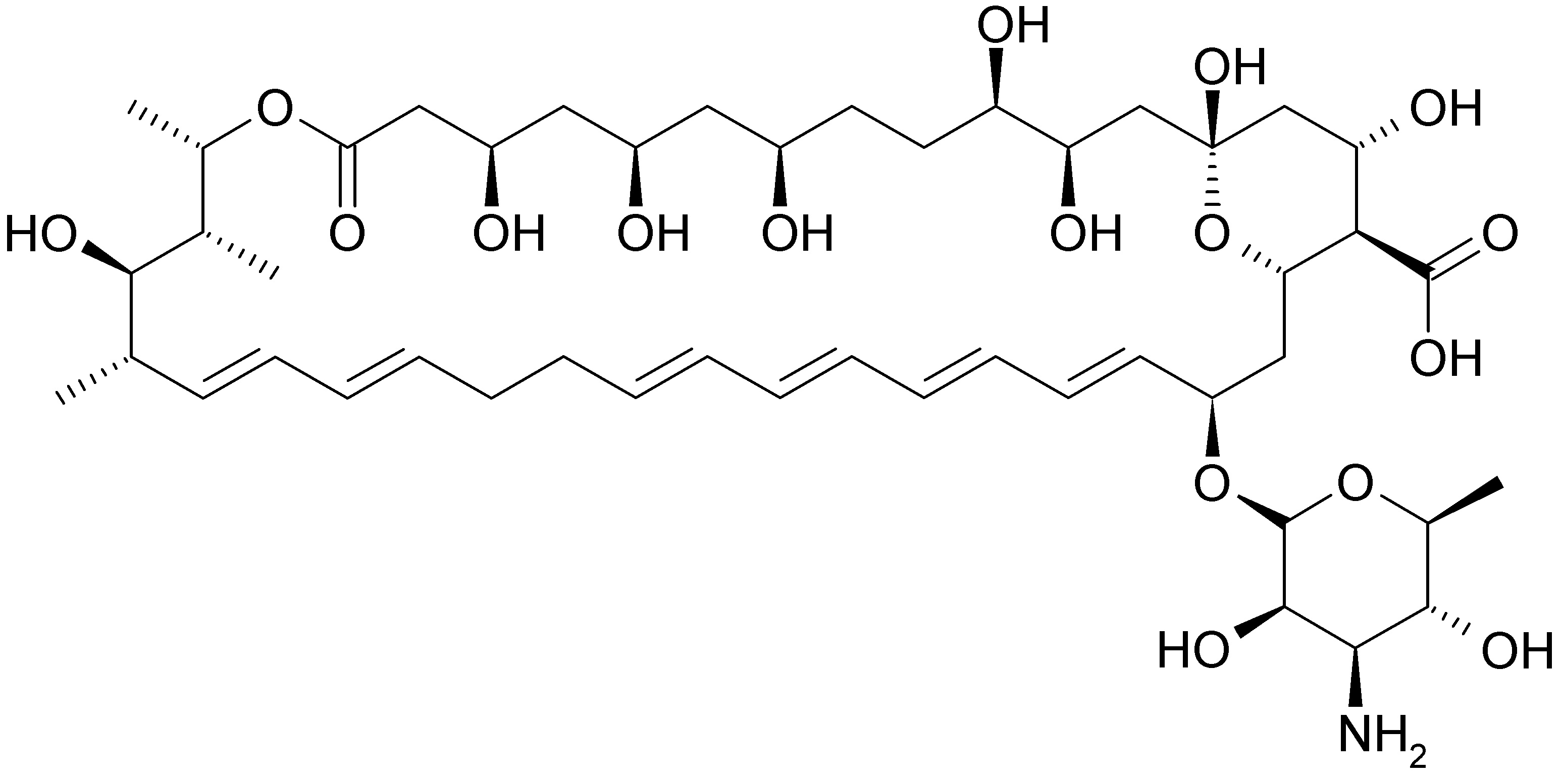
2.4 MUI = 24 ml
Mycostatine® |
| Heksetydyna 0.1% |
75 ml |
| wodorowęglan sodu |
1.4% >>400 ml |
|
20-25°C |
 |
| 3 |
 |
|
2729
|
|