最新更新 :
27/11/2025
様々なもの   Baclofen  
経口液
注射薬 軟膏薬
調剤時の安定性 混合時の安定性 安定性に影響する因子 互換性 引用文献 PDF
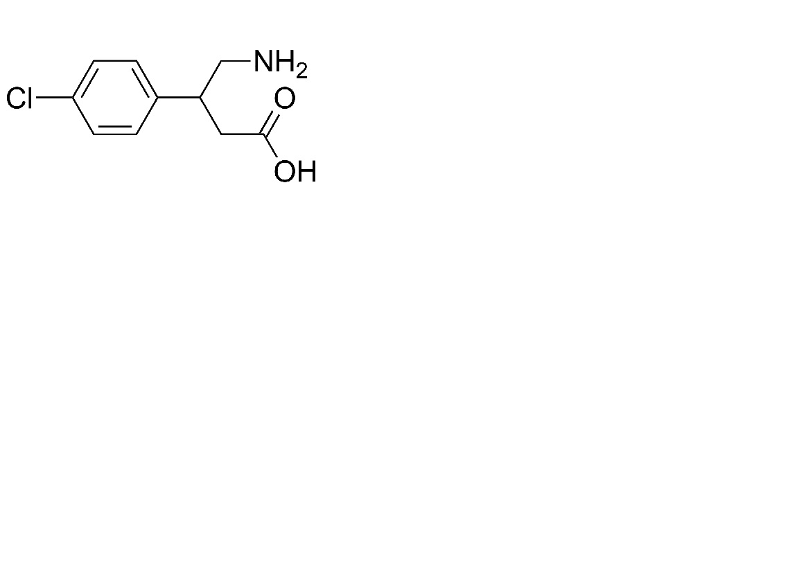
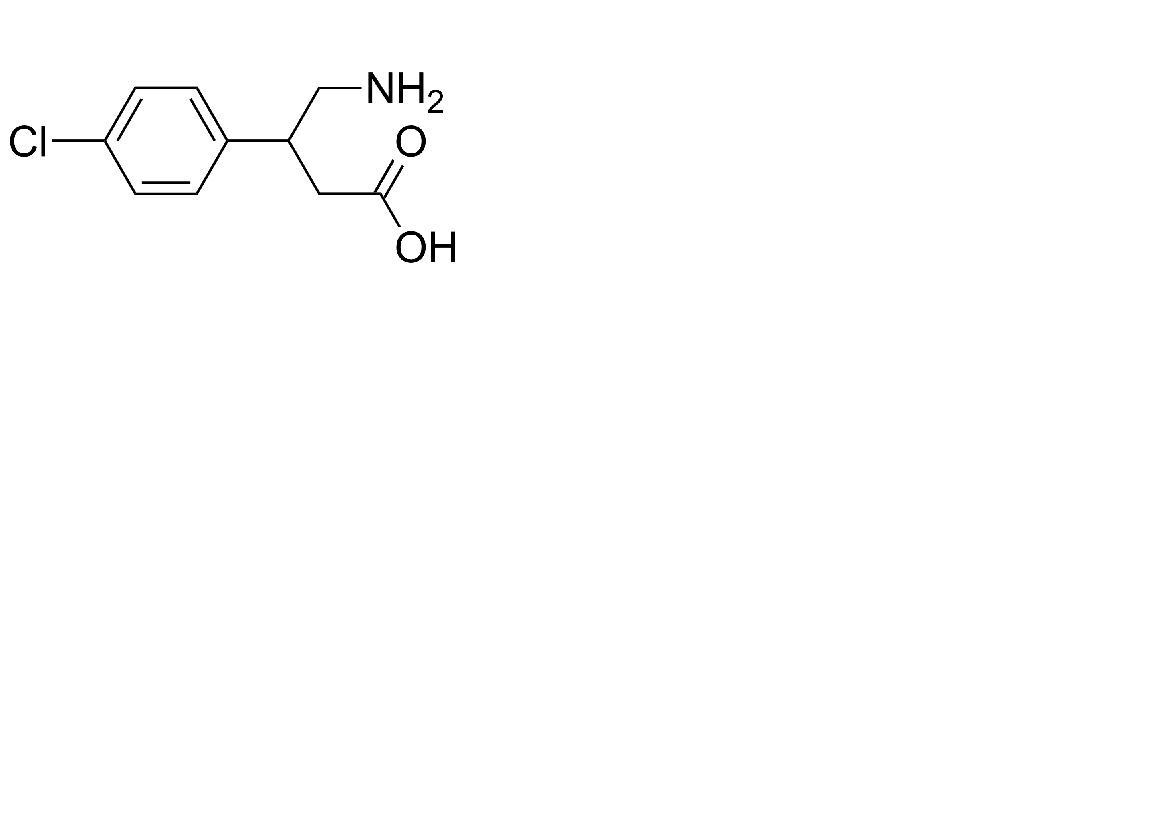
   化学構造  

経口液
調剤時の安定性   経口液   調剤時の安定性 : Baclofen     
容器 Origine 添加剤 温度 保管 安定期間 引用文献
ガラス 錠剤 300 mg
Lioresal®
グリセリン
単シロップ >> 60 ml
4°C 遮光
35 日
2478

ガラス 錠剤 300 mg
Lioresal®
単シロップ >> 60 ml
4°C 遮光
35 日
2478

プラスチックボトル 粉 1,5 g
® = ?
SyrSpend SF PH4® >> 150 mL
2-8°C 遮光
90 日
3999

プラスチックボトル 粉 300 mg
® = ?
SyrSpend SF PH4® >> 150 ml
2-8°C 特記なし
90 日
4177

プラスチックボトル 粉 1,5 g
® = ?
SyrSpend SF PH4® >> 150 mL
20-25°C 遮光
90 日
3999

プラスチックボトル 錠剤 1200 mg
?
OraPlus® / OraSweet® (1:1) >> 120 ml
25°C 遮光
60 日
2433

プラスチックボトル 錠剤 1200 mg
?
OraPlus® / OraSweet SF® (1:1) >> 120 ml
25°C 遮光
60 日
2433

プラスチックボトル 錠剤 1200 mg
?
チェリーシロップ >> 120 ml
25°C 遮光
60 日
2433

プラスチックボトル 錠剤 1200 mg
?
OraPlus® / OraSweet® (1:1) >> 120 ml
4°C 遮光
60 日
2433

プラスチックボトル 錠剤 1200 mg
?
OraPlus® / OraSweet SF® (1:1) >> 120 ml
4°C 遮光
60 日
2433

プラスチックボトル 錠剤 1200 mg
?
チェリーシロップ >> 120 ml
4°C 遮光
60 日
2433


  Mentions Légales