 |
|
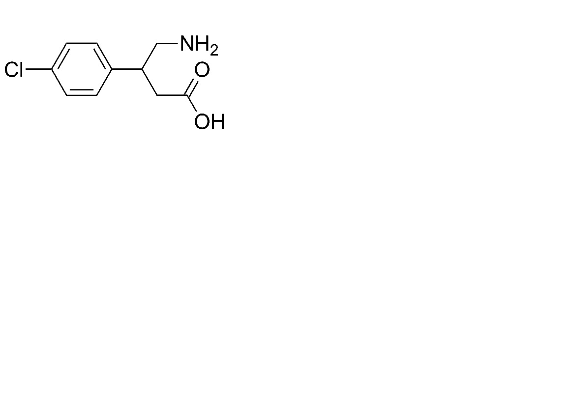
300 mg
Lioresal® |
| Glycerol |
|
| Jednoduchý sirup |
>> 60 ml |
|
4°C |
 |
| 35 |
 |
|
2478
|
|
 |
|
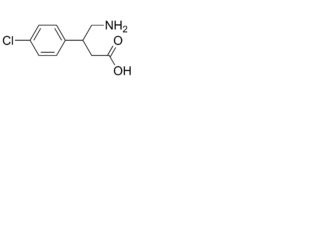
300 mg
Lioresal® |
| Jednoduchý sirup |
>> 60 ml |
|
4°C |
 |
| 35 |
 |
|
2478
|
|
 |
|
1,5 g
® = ? |
| SyrSpend SF PH4® |
>> 150 mL |
|
2-8°C |
 |
| 90 |
 |
|
3999
|
|
 |
|
300 mg
® = ? |
| SyrSpend SF PH4® |
>> 150 ml |
|
2-8°C |
 |
| 90 |
 |
|
4177
|
|
 |
|
1,5 g
® = ? |
| SyrSpend SF PH4® |
>> 150 mL |
|
20-25°C |
 |
| 90 |
 |
|
3999
|
|
 |
|
1200 mg
? |
| OraPlus® / OraSweet® (1:1) |
>> 120 ml |
|
25°C |
 |
| 60 |
 |
|
2433
|
|
 |
|
1200 mg
? |
| OraPlus® / OraSweet SF® (1:1) |
>> 120 ml |
|
25°C |
 |
| 60 |
 |
|
2433
|
|
 |
|
1200 mg
? |
| Čerešňový sirup |
>> 120 ml |
|
25°C |
 |
| 60 |
 |
|
2433
|
|
 |
|
1200 mg
? |
| OraPlus® / OraSweet® (1:1) |
>> 120 ml |
|
4°C |
 |
| 60 |
 |
|
2433
|
|
 |
|
1200 mg
? |
| OraPlus® / OraSweet SF® (1:1) |
>> 120 ml |
|
4°C |
 |
| 60 |
 |
|
2433
|
|
 |
|
1200 mg
? |
| Čerešňový sirup |
>> 120 ml |
|
4°C |
 |
| 60 |
 |
|
2433
|
|