Utolsó frissítés :
18/03/2026
Antibiotikum   Minocycline hydrochloride  
Injekció
belsőleges oldat
Az oldatok stabilitása A keverékek stabilitása Stabilitást befolyásoló tényezők Kompatibilitás Az alkalmazás módja Irodalom pdf
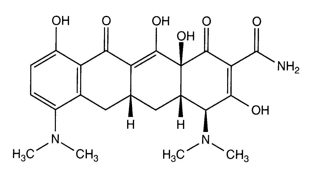
   Kémiai szerkezet   

Kereskedelmi név   Kereskedelmi név     

A kereskedelmi név meghatározó jelentőségű: a készítmények összetétele országonként, előállítóként eltérő lehet

Minocin Amerikai Egyesült Államok
Irodalom   Injekció   Irodalom : Minocycline hydrochloride  
Type publikáció
3 Napló Trissel LA, Martinez JF.
Compatibility of amifostine with selected drugs during simulated Y-site administration.
Am J Health-Syst Pharm 1995 ; 52: 2208-2212.
59 Napló Trissel LA, Gilbert DL, Martinez JF, Kim MC.
Compatibility of remifentanil hydrochloride with selected drugs during simulated Y-site administration.
Am J Health-Syst Pharm 1997 ; 54: 2192-2196.
81 Napló Trissel LA, Martinez JF.
Compatibility of piperacillin sodium plus tazobactam with selected drugs during simulated Y-site injection.
Am J Hosp Pharm 1994 ; 51: 672-678.
84 Napló Trissel LA, Martinez JF.
Visual, turbidimetric, and particle-content assessment of compatibility of vinorelbine tartrate with selected drugs during simulated Y-site injection.
Am J Hosp Pharm 1994 ; 51: 495-499.
99 Napló Trissel LA, Martinez JF.
Compatibility of aztreonam with selected drugs during simulated Y-site administration.
Am J Health-Syst Pharm 1995 ; 52: 1086-1090.
169 Napló Trissel LA, Martinez JF.
Physical compatibility of melphalan with selected drugs during simulated Y-site administration.
Am J Hosp Pharm 1993 ; 50: 2359-2363.
182 Napló Trissel LA, Gilbert DL, Martinez JF.
Compatibility of granisetron hydrochloride with selected drugs during simulated Y-site administration.
Am J Health-Syst Pharm 1997 ; 54: 56-60.
244 Napló Trissel LA, Martinez JF.
Compatibility of filgrastim with selected drugs during simulated Y-site administration.
Am J Hosp Pharm 1994 ; 51: 1907-1913.
249 Napló Trissel LA, Martinez JF.
Compatibility of thiotepa (lyophilized) with selected drugs during simulated Y-site administration.
Am J Health-Syst Pharm 1996 ; 53: 1041-1045.
263 Napló Pearson SD, Trissel LA.
Stability and compatibility of minocycline hydrochloride and rifampicin in intravenous solutions at various temperatures.
Am J Hosp Pharm 1993 ; 50: 698-702.
299 Napló Trissel LA, Martinez JF, Gilbert DL.
Compatibility of cisatracurium besylate with selected drugs during simulated Y-site administration.
Am J Health-Syst Pharm 1997 ; 54: 1735-1741.
300 Napló Trissel LA, Gilbert DL, Martinez JF.
Compatibility of propofol injectable emulsion with selected drugs during simulated Y-site administration.
Am J Health-Syst Pharm 1997 ; 54: 1287-1292.
301 Napló Trissel LA, Gilbert DL, Martinez JF, Baker MB, Walter WV, Mirtallo JM.
Compatibility of parenteral nutrient solutions with selected drugs during simulated Y-site administration.
Am J Health-Syst Pharm 1997 ; 54: 1295-1300.
307 Napló Trissel LA, Martinez JF.
Compatibility of allopurinol sodium with selected drugs during simulated Y-site administration.
Am J Hosp Pharm 1994 ; 51: 1792-1799.
335 Napló Trissel LA, Bready BB, Kwan JW, Santiago NM.
Visual compatibility of sargramostim with selected antineoplasic agents, anti-infectives, or other drugs during simulated Y-site injection.
Am J Hosp Pharm 1992 ; 49: 402-406.
405 Napló Nieves-Cordero AL, Luciw HM, Souney PF.
Compatibility of narcotic analgesic solutions with various antibiotics during simulated Y-site injection.
Am J Hosp Pharm 1985 ; 42: 1108-1109.
492 Napló Trissel LA, Parks NPT, Santiago NM.
Visual compatibility of fludarabine phosphate with antineoplastic drugs, anti-infectives, and other selected drugs during simulated Y-site injection.
Am J Hosp Pharm 1991 ; 48: 2186-2189.
905 Napló Trissel LA, Martinez JF.
Screening teniposide for Y-site physical incompatibilities.
Hosp Pharm 1994 ; 29: 1010-1017.
1047 Napló Souney PF, Colucci RD, Mariani G, Campbell D.
Compatibility of magnesium sulfate solutions with various antibiotics during simulated Y-site injection.
Am J Hosp Pharm 1984 ; 41: 323-324.
1228 Napló Allen LV, Stiles ML.
Compatibility of various admixtures at Y-injection sites of intravenous administration sets. Part2.
Am J Hosp Pharm 1981 ; 38: 380-381.
1410 Napló Trissel LA, Martinez JF, Simmons M.
Compatibility of etoposide phosphate with selected drugs during simulated Y-site injection.
J Am Pharm Assoc 1999 ; 39: 141-145.
1415 Napló Trissel L.A, Gilbert D.L, Martinez J.F, Baker M.B, Walter W.V, Mirtallo J.M.
Compatibility of medications with 3-in-1 parenteral nutrition admixtures.
JPEN 1999 ; 23: 67-74.
1423 Napló Trissel LA, Martinez JF, Gilbert DL.
Compatibility of gemcitabine hyrochloride with 107 selected drugs during simulated Y-site injection.
J Am Pharm Assoc 1999 ; 39: 514-518.
1754 Napló Trissel LA, Gilbert DL, Wolkin AC.
Compatibility of docetaxel with selected drugs during simulated Y-site administration.
Int J Pharm Compound 1999 ; 3: 241-244.
1925 Napló Trissel LA , Williams KY, Gilbert DL.
Compatibility screening of linezolid injection during simulated Y-site administration with other drugs and infusion solutions.
J Am Pharm Assoc 2000 ; 40: 515-519.
1953 Napló Trissel LA, Saenz CA, Ogundele AB, Ingram DS.
Physical compatibility of pemetrexed disodium with other drugs during simulated Y-site administration.
Am J Health-Syst Pharm 2004 ; 61: 2289-2293.
3128 Laboratórium Mitomycine (Amétycine®) - Résumé Caractéristiques du Produit
Prostrakan 2013
3531 Laboratórium Morphine sulphate 10 mg/mL injection BP – Summary of Product Characteristics
Wockhardt 2014
3644 Laboratórium Calcium gluconate® - Summary of Product Characteristics
Hameln Pharmaceuticals 2010
3674 Laboratórium Erythromycin lactobionate - Summary of Product Characteristics
PanPharma 2016
4440 Napló Omotani S, Aoe M, Esaki S, Nagai K, Hatsuda Y, Mukai J, Teramachi H, Myotoku M.
Compatibility of Intravenous Fat Emulsion with Antibiotics for Secondary Piggyback Infusion.
Ann Nutr Metab 2018 ; 73: 227-233.
4471 Laboratórium Amétycine 10 mg poudre pour solution injectable - Résumé des caractéristiques du produit - Oct 10, 2019
Kyowa Kirin Pharma 2019
4801 Napló Ruiz V, Yuwei Shen Y, Abouelhassan Y, Fouad A, Nicolau D, Kuti J.
Physical compatibility of sulbactam/durlobactam with select intravenous drugs during simulated Y-site administration.
Am J Health-Syst Pharm 2024 ;51,1:
5058 Laboratórium MINOCIN®, Minocycline For Injection - Summary of Product Characteristics.
Melinta Therapeutics, 2025

  Mentions Légales