最新更新 :
17/12/2025
抗菌薬   Ampicillin sodium - sulbactam sodium  
注射薬
溶媒内の安定性 混合時の安定性 安定性に影響する因子 互換性 投与経路 引用文献 PDF
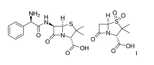
   化学構造  

商品名   商品名     

商品名、賦形剤は国、製薬会社ごとに異なることがあります

Alfasid トルコ
Ampibac コロンビア
Ampibactam ベネズエラ
Ampicillin sulbactam アーストラリア
Ampicillina sodica - sulbactam エクアドル, ブラジル
Ampictam エジプト
Ampiplus サウジアラビア, ルーマニア
Ampisid トルコ
Ampixim ベネズエラ
Bacimex スペイン
Begalin ギリシア
Bethacil イタリア
Cinclox インド
Combicid トルコ
Darzitil アルゼンチン
Duobaktam トルコ
Duocid トルコ
Galotam スペイン
Libractam チリ
Loricin イタリア
Prixin アルゼンチン
Ranpisul メキシコ
Retarpen スペイン
Sabect エジプト
Sulamp コロンビア
Sulbacter ベネズエラ
Sulbaksit トルコ
Sulbin エジプト
Sulcid トルコ
Sumitan コロンビア, ベネズエラ
Synerpen エジプト
Ultracillin エジプト
Unacid ドイツ
Unacim フランス
Unasyn アメリカ, イタリア, エクアドル, エジプト, オーストリア, コロンビア, サウジアラビア, スペイン, チリ, ドイツ, ハンガリー, ブラジル, ペルー, ポーランド, マレーシア, メキシコ, モロッコ, 日本
Unictam エジプト
Xilbac ペルー
溶媒内の安定性   注射薬   溶媒内の安定性 : Ampicillin sodium - sulbactam sodium     
容器 溶媒 濃度 温度 保管 安定期間 引用文献
ポリ塩化ビニル(PVC) NaCl 0,9% 20 mg/ml 24°C 特記なし
24 時間
258
エビデンスレベル D

ポリ塩化ビニル(PVC) NaCl 0,9% 20 mg/ml 5°C 特記なし
60 時間
258
エビデンスレベル D


  Mentions Légales