Posledná aktualizácia :
17/12/2025
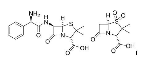
antibiotikum   Ampicillin sodium - sulbactam sodium  
Injekcia
Stabilita roztokov Stabilita v zmesiach Faktory ovplyvňujúce stabilitu Kompatibility spôsob podania Odkazy na literatúru PDF
   Chemický vzorec  

Obchodný názov   Obchodný názov     

Obchodné názvy sú orientačné, a zloženie pomocných látok sa môže líšiť v závislosti od krajiny a výrobcu.

Alfasid Turecko
Ampibac Kolumbia
Ampibactam Venezuela
Ampicillin sulbactam Austrália
Ampicillina sodica - sulbactam Brazília, Ekvádor
Ampictam Egypt
Ampiplus Rumunsko, Saudská Arábia
Ampisid Turecko
Ampixim Venezuela
Bacimex Španielsko
Begalin Grécko
Bethacil Taliansko
Cinclox India
Combicid Turecko
Darzitil Argentína
Duobaktam Turecko
Duocid Turecko
Galotam Španielsko
Libractam Čile
Loricin Taliansko
Prixin Argentína
Ranpisul Mexiko
Retarpen Španielsko
Sabect Egypt
Sulamp Kolumbia
Sulbacter Venezuela
Sulbaksit Turecko
Sulbin Egypt
Sulcid Turecko
Sumitan Kolumbia, Venezuela
Synerpen Egypt
Ultracillin Egypt
Unacid Nemecko
Unacim Francúzsko
Unasyn Brazília, Čile, Egypt, Ekvádor, Japonsko, Kolumbia, Maďarsko, Malajzia, Maroko, Mexiko, Nemecko, peru, Poľsko, Rakúsko, Saudská Arábia, Španielsko, Spojené štáty Americké, Taliansko
Unictam Egypt
Xilbac peru
Stabilita v zmesiach   Injekcia   Stabilita v zmesiach : Ampicillin sodium - sulbactam sodium     

  Mentions Légales