Последно актуализиране :
18/03/2026
Антихипертензивно средство   Nitrendipine  
Орален разтвор
Стабилност на лекарствени препарати Стабилност на смеси Фактори, повлияващи стабилността Съвместимост Библиография Pdf
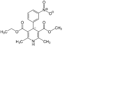
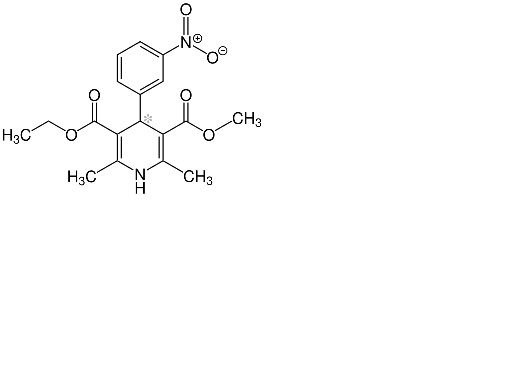
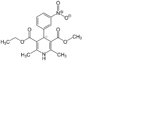
   Химична структура  

Орален разтвор
Библиография   Орален разтвор   Библиография : Nitrendipine  
Вид Публикация
4087 Списание Bellay R, Bonnaure A.C, Rault P, Pertuisel S, Lester M.A, Boivin P.N.
Stability of 5 mg/mL Nitrendipine Oral Suspension in SyrSpend® SF PH4.
Pharmaceutical Technology in Hospital Pharmacy 2018 ;3,1:31-37

  Mentions Légales