 |
|
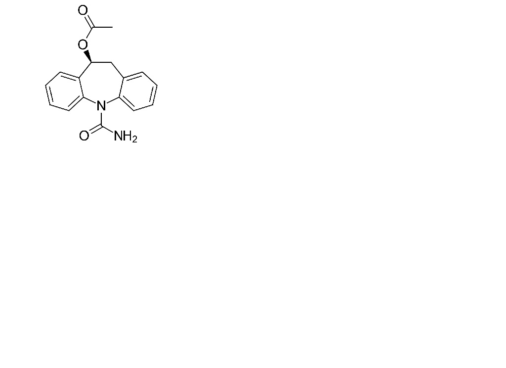
1200 mg
Aptiom® |
| OraPlus® / OraSweet® (1:1) |
>> 30 mL |
|
2-8°C |
 |
| 63 |
 |
|
4170
|
|
 |
|
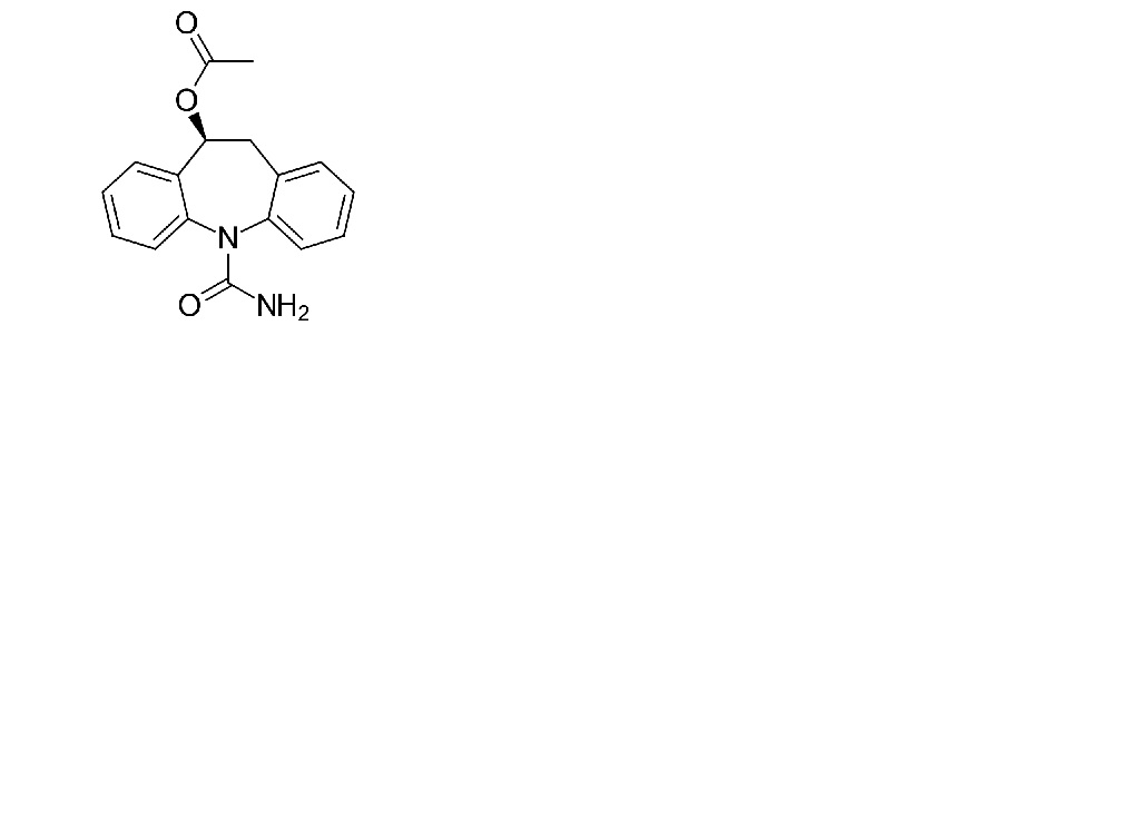
1200 mg
Aptiom® |
| OraPlus® / OraSweet SF® (1:1) |
>> 30 mL |
|
2-8°C |
 |
| 63 |
 |
|
4170
|
|
 |
|
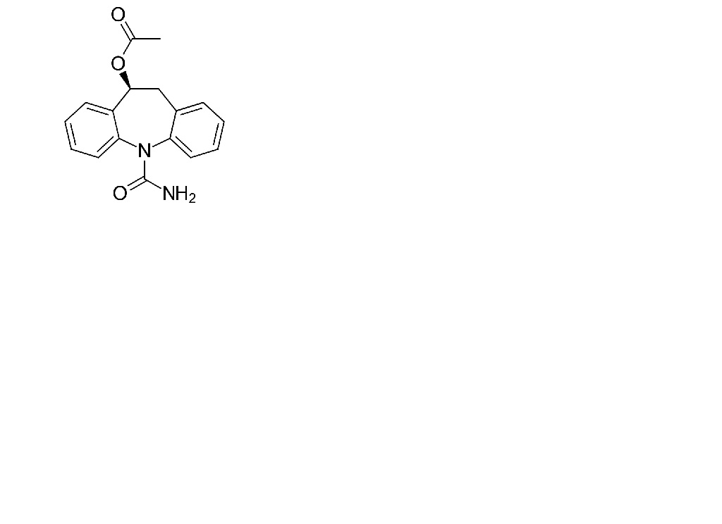
1200 mg
Aptiom® |
| OraPlus® / OraSweet® (1:1) |
>> 30 mL |
|
25°C |
 |
| 63 |
 |
|
4170
|
|
 |
|
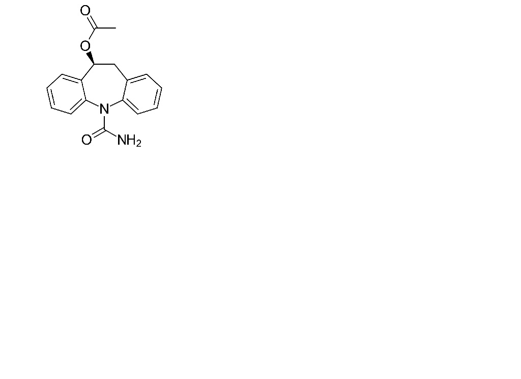
1200 mg
Aptiom® |
| OraPlus® / OraSweet SF® (1:1) |
>> 30 mL |
|
25°C |
 |
| 63 |
 |
|
4170
|
|
 |
|
400 mg
Aptiom® |
| تنقية المياه/OraPlus®(1:1) |
>> 100 mL |
|
20-25°C |
 |
| 48 |
 |
|
4048
|
|